[Home]

A Ninth Generalization

RabbitRabbitRabbit

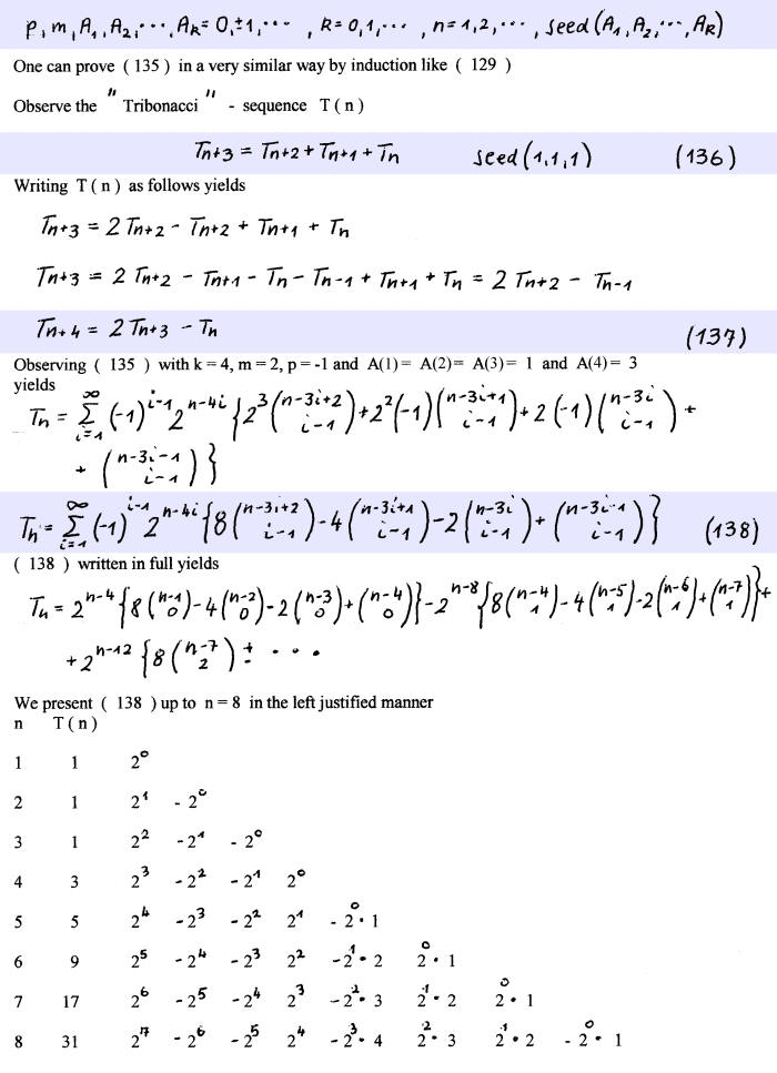
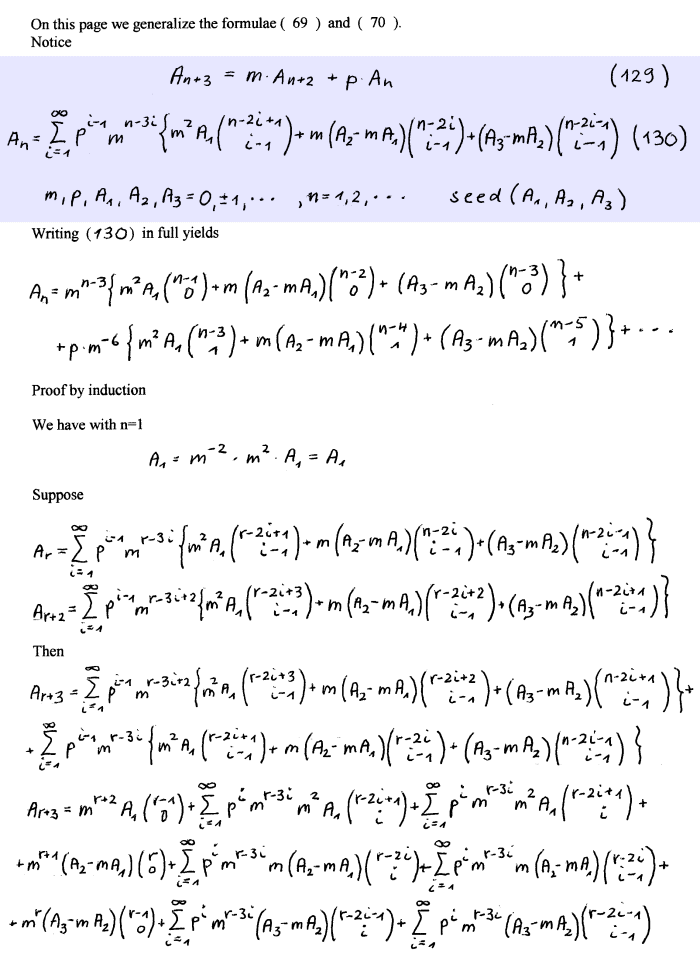
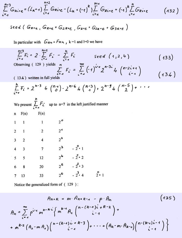
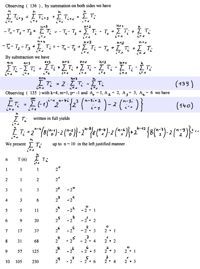
Formulae

Formulae

Formulae

Formulae

Formulae

Formulae

Formulae