[Home]

An Eighth Generalization

RabbitRabbitRabbit

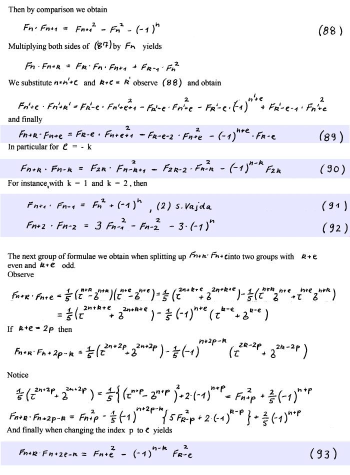
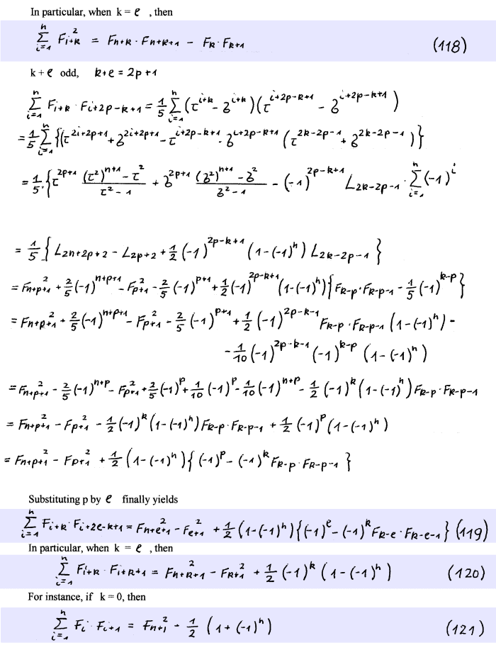
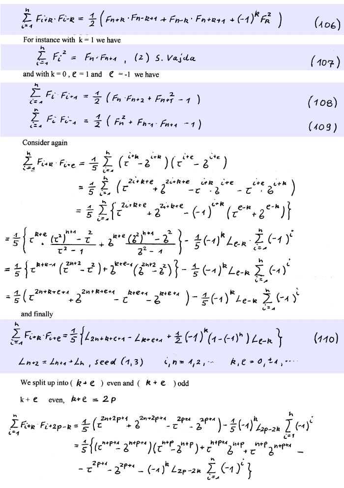
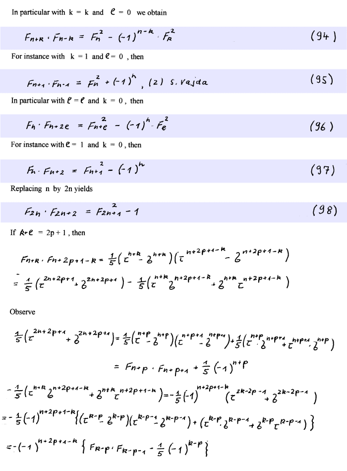
Formulae

Formulae

Formulae

Formulae

Formulae

Formulae

Formulae

Formulae

Formulae

Formulae