[Home]

A Seventh Generalization

RabbitRabbitRabbit

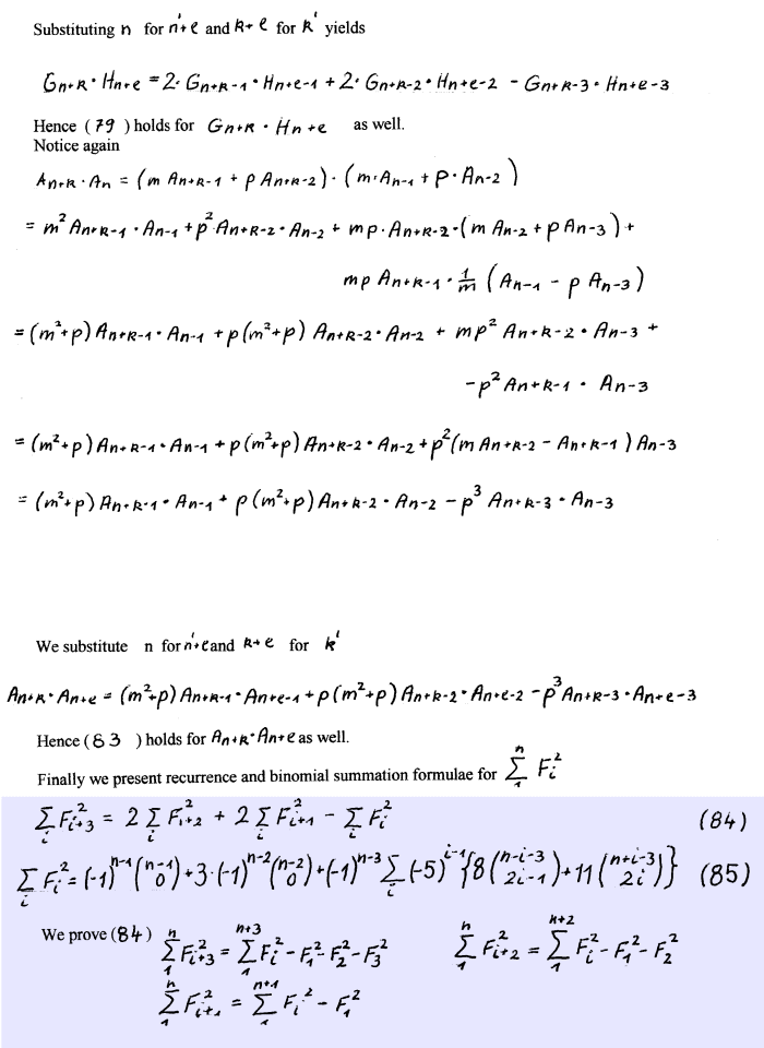
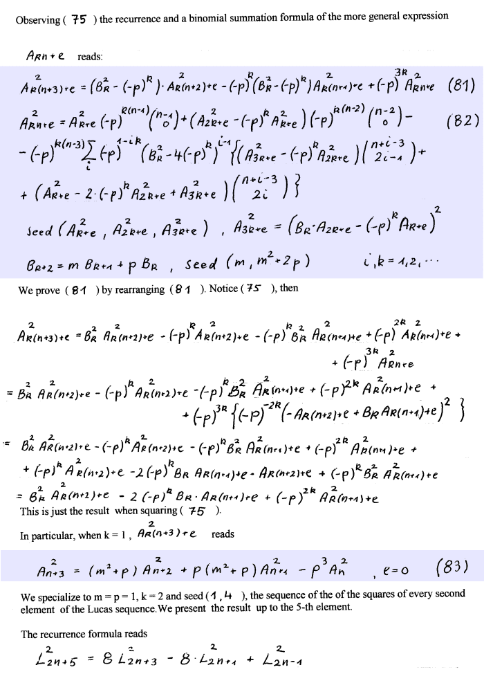
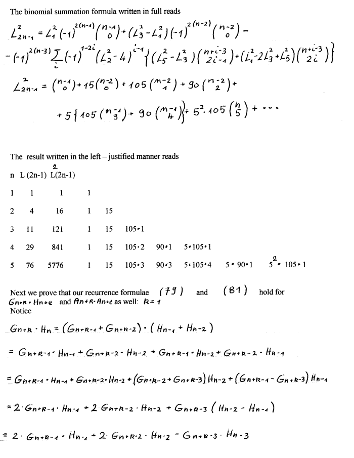
Formulae

Formulae

Formulae

Formulae

Formulae

Formulae