[Home]

A Thirtieth Generalization

RabbitRabbitRabbit

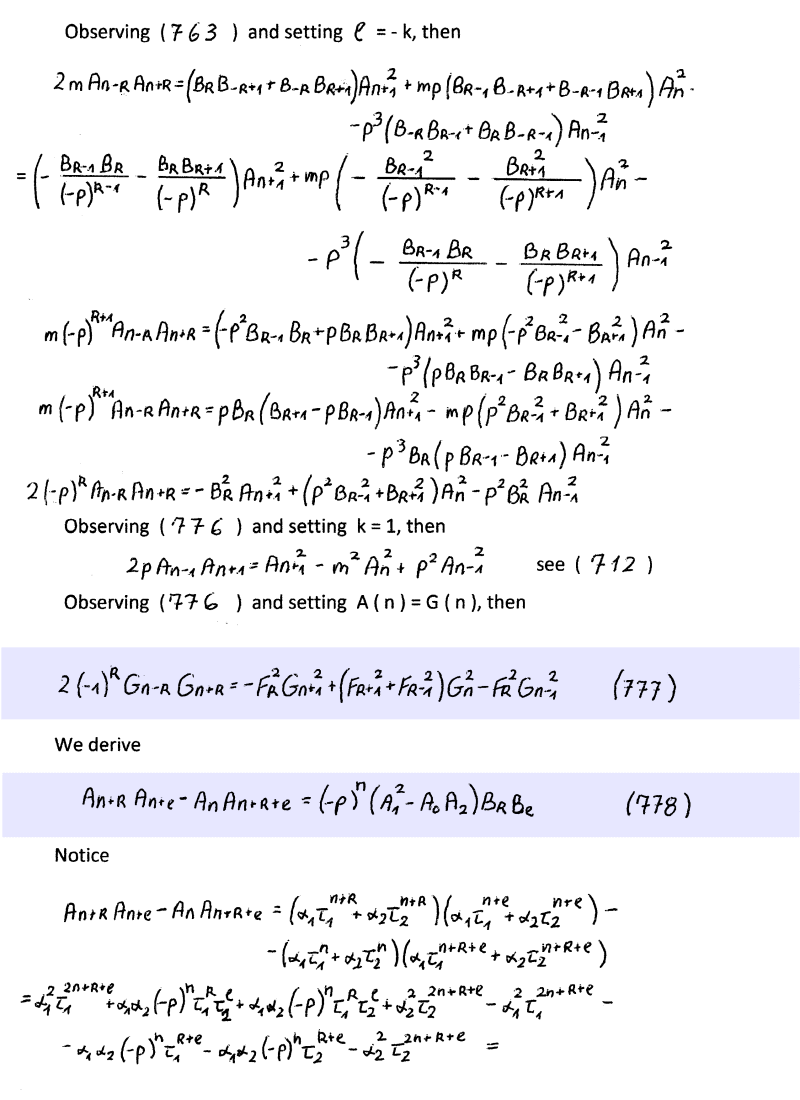
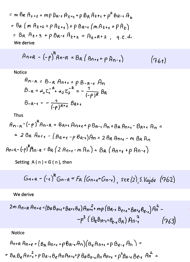
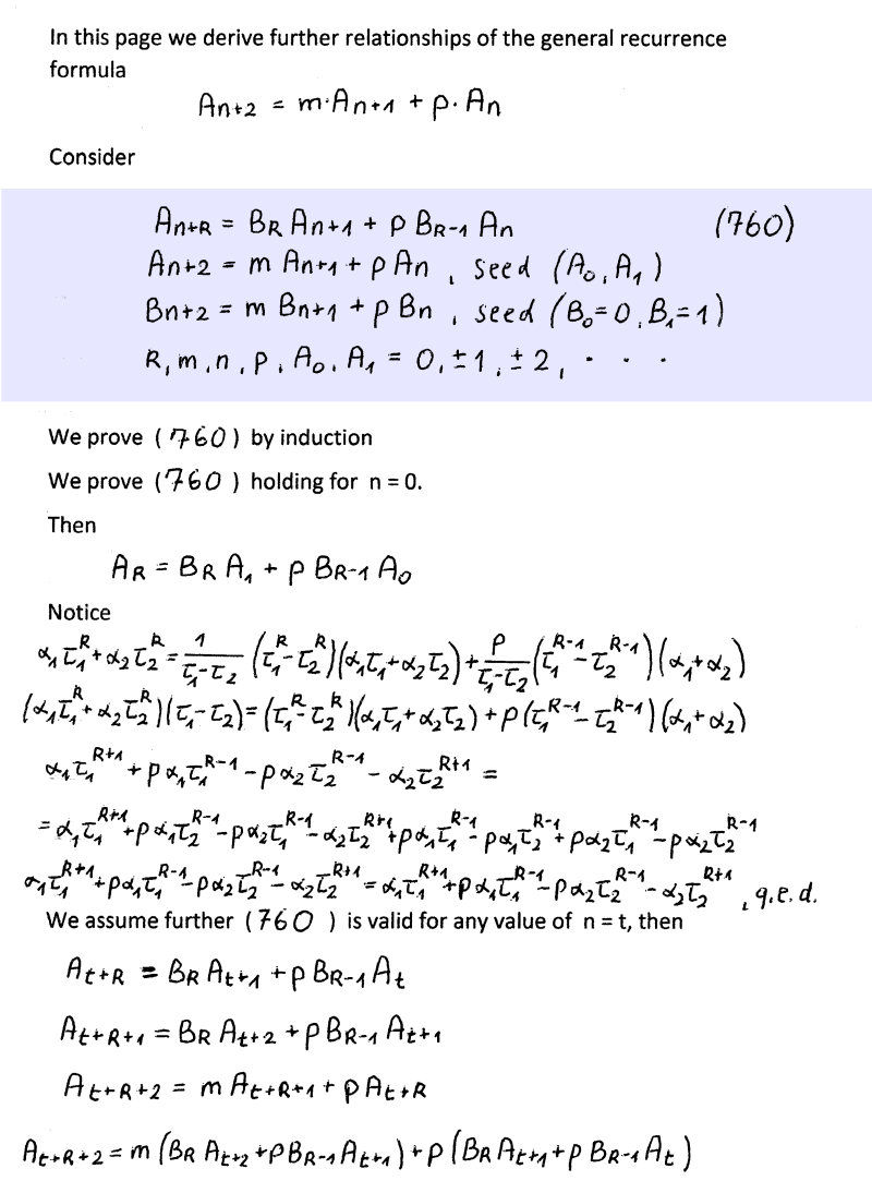
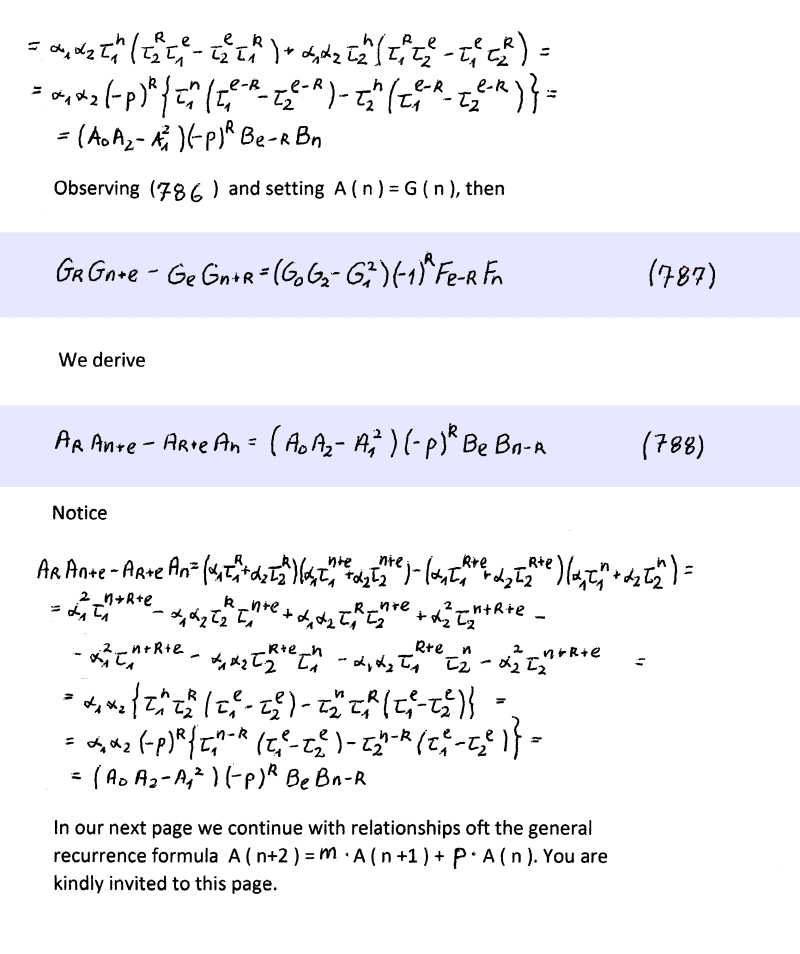
Formulae

Formulae

Formulae

Formulae

Formulae

Formulae

Formulae