[Home]

A Third Generalization (Part 2)

RabbitRabbitRabbit

1.

We start with F (n+2 ) = F (n+1 ) + F (n ) = F (n +1) + F ( n +1) - F (n-1 )

                   F (n+2 ) = 2 F ( n+1 ) - F ( n-1 )

Observing  F ( n-1 ) = F ( n ) - F ( n-2 ) finally yields

               F ( n+2 ) = 2 F ( n+1 ) - F ( n ) + F ( n-2 )

The binomial summation formula of the recurrence formula

Formulae

with seed S ( A (1) , A(2) , A(3) , A(4) ) reads

Formulae

With the seed S ( 1 , 1 , 2 , 3 ) we obtain the Fibonacci sequence and with the seed S ( 1 , 3 , 4 , 7 ) the Lucas sequence respectively :

Formulae

We can rewrite the Fibonacci binomial formula in the more elegant form

Formulae

Summing up over n yields

Formulae

Below we give an example for ∑ F ( n ) of the first nine elements of the sequence.

Formulae

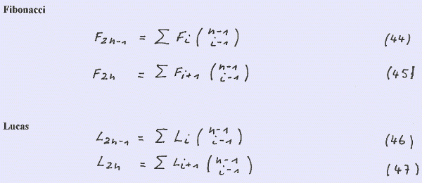
Replacing n by 2n - 1 and 2n yields F ( 2n-1 ) and F (2n ) respectively:

Formulae

2.

The generalized Fibonacci sequence can be expressed as follows :

Formulae

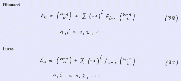
Using the seed S ( 1 , 1 ) and S ( 1 , 3 ) yields the expressions for the Fibonacci and the Lucas sequence respectively :

Formulae

Summing up over n yields the binomial summation formula for ∑ F ( n ) :

Formulae

As an example again we present the first nine elements of the sequence

Formulae

Formulae

The binomial summation formulae for G ( 2n-1 ) and G ( 2n ) respectively read

Formulae

Using the seeds S (1 , 1 ) for the Fibonacci sequence and S ( 1 , 3 ) for the Lucas sequence respectively yields

Formulae

Summing up over n yields

Formulae

As an example we present the first five elements of the sequence ∑ F ( 2n-1 ) :

Formulae

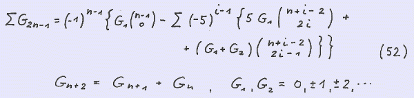
3.

We use here another binomial sum formula for the generalised Fibonacci sequence of every second element G ( 2n-1 ):

Formulae

With the seeds S ( 1 , 2 ) and S ( 1 , 4 ) we obtain the formulae for the Fibonacci and the Lucas sequences:

Formulae

We give an example of the first five elements of the Fibonacci sequence:

Formulae

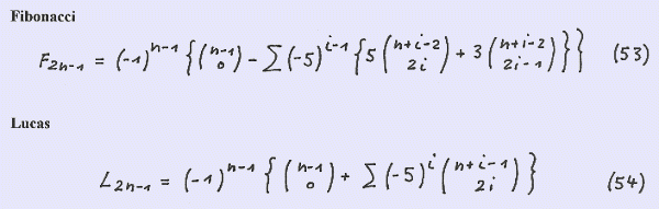
4.

Another binomial summation formula for G ( 2n-1 ) reads

Formulae

Again using the seed S ( 1, 2 ) yields F ( 2n-1 ) :

Formulae

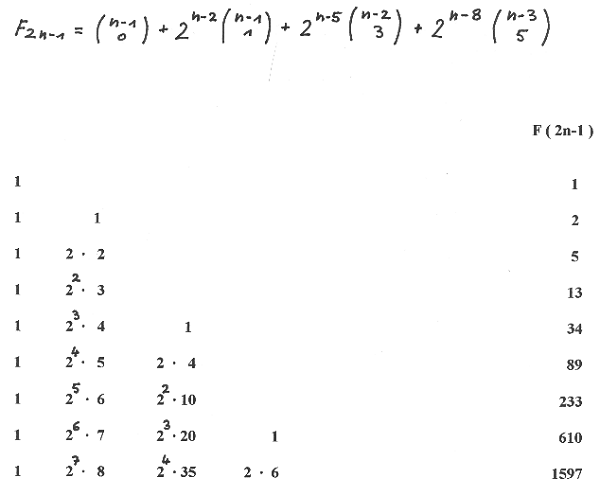
Below we give an example of the first nine elements of the sequence :

Formulae

You are kindly invited to the next page where we will extend our binomial summation fomula

Formulae

to the more general form

Formulae

[Go back to: A Third Generalization (Part 1)]