[Home]

A Twenty-ninth Generalization

RabbitRabbitRabbit

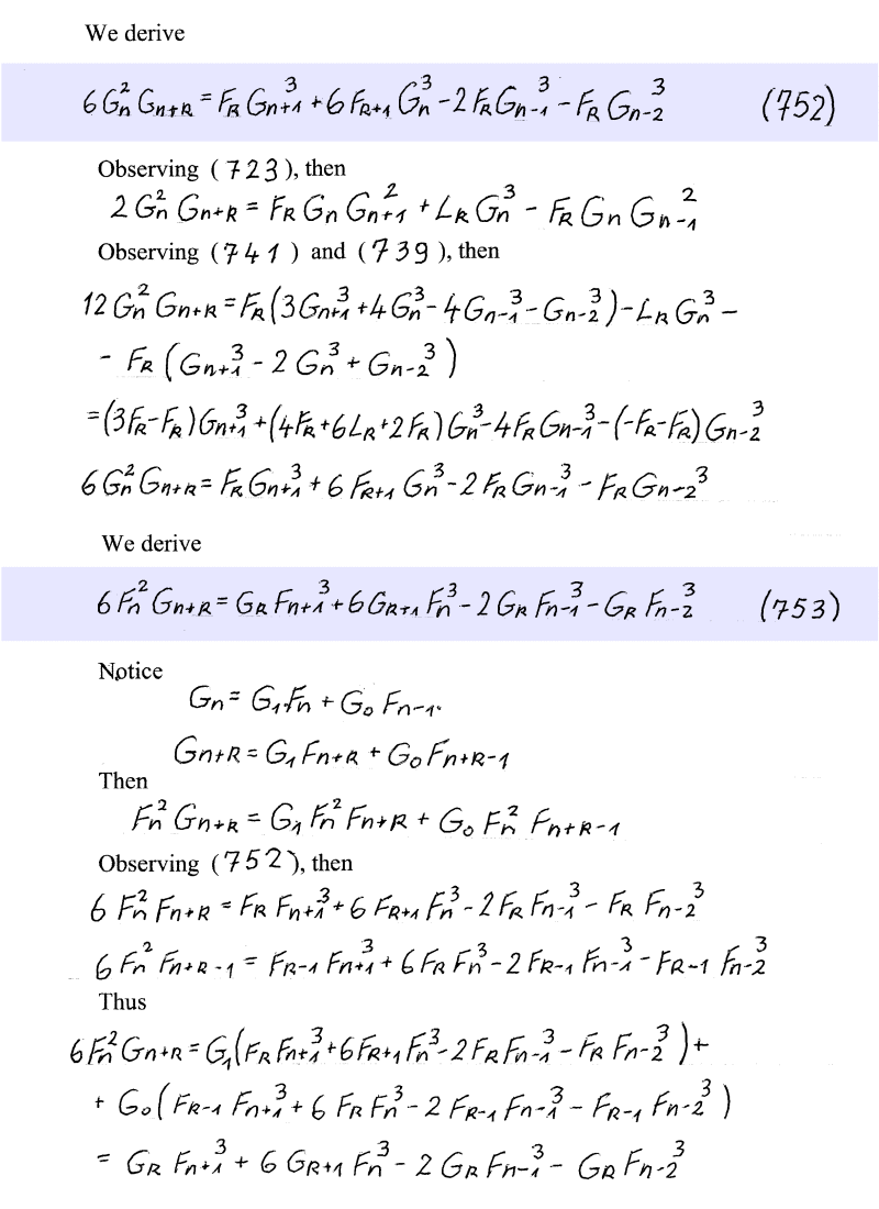
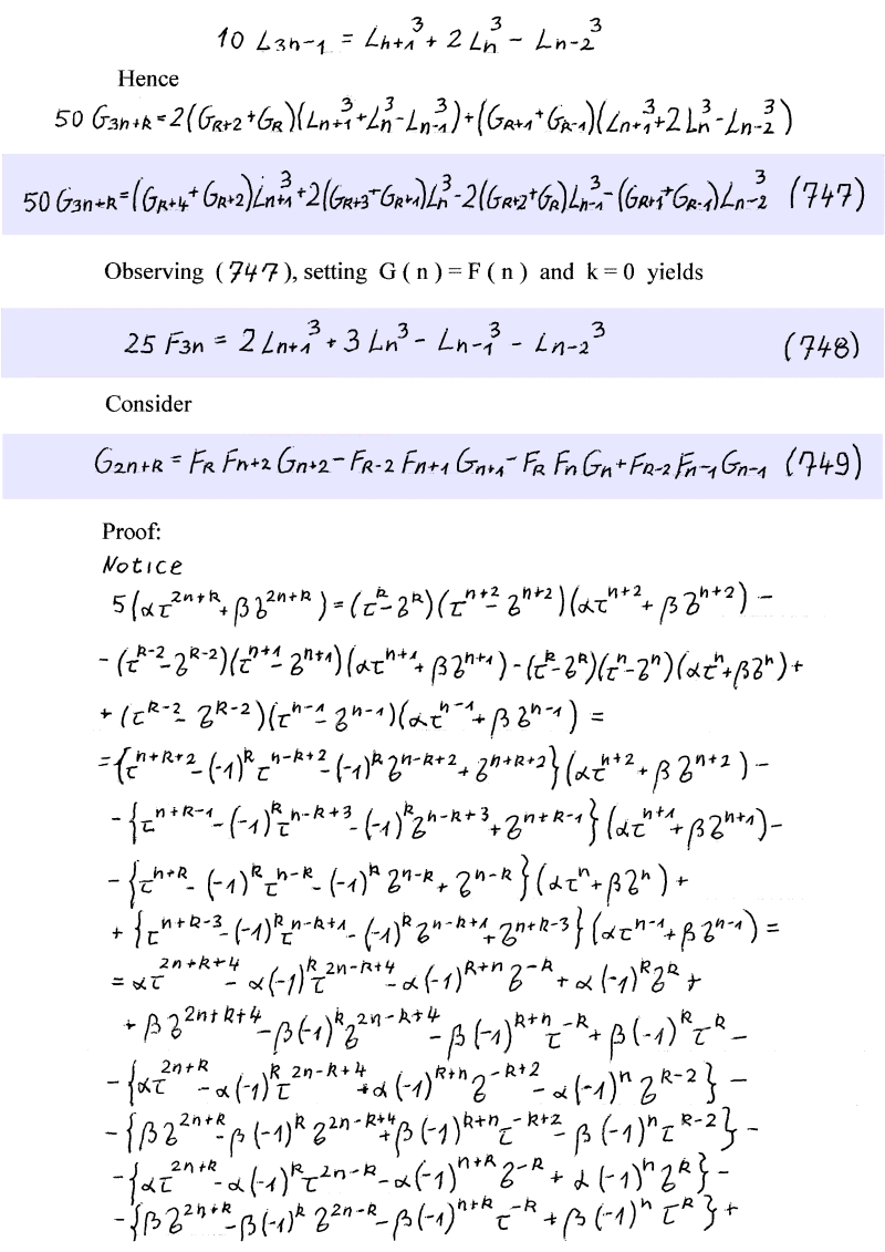
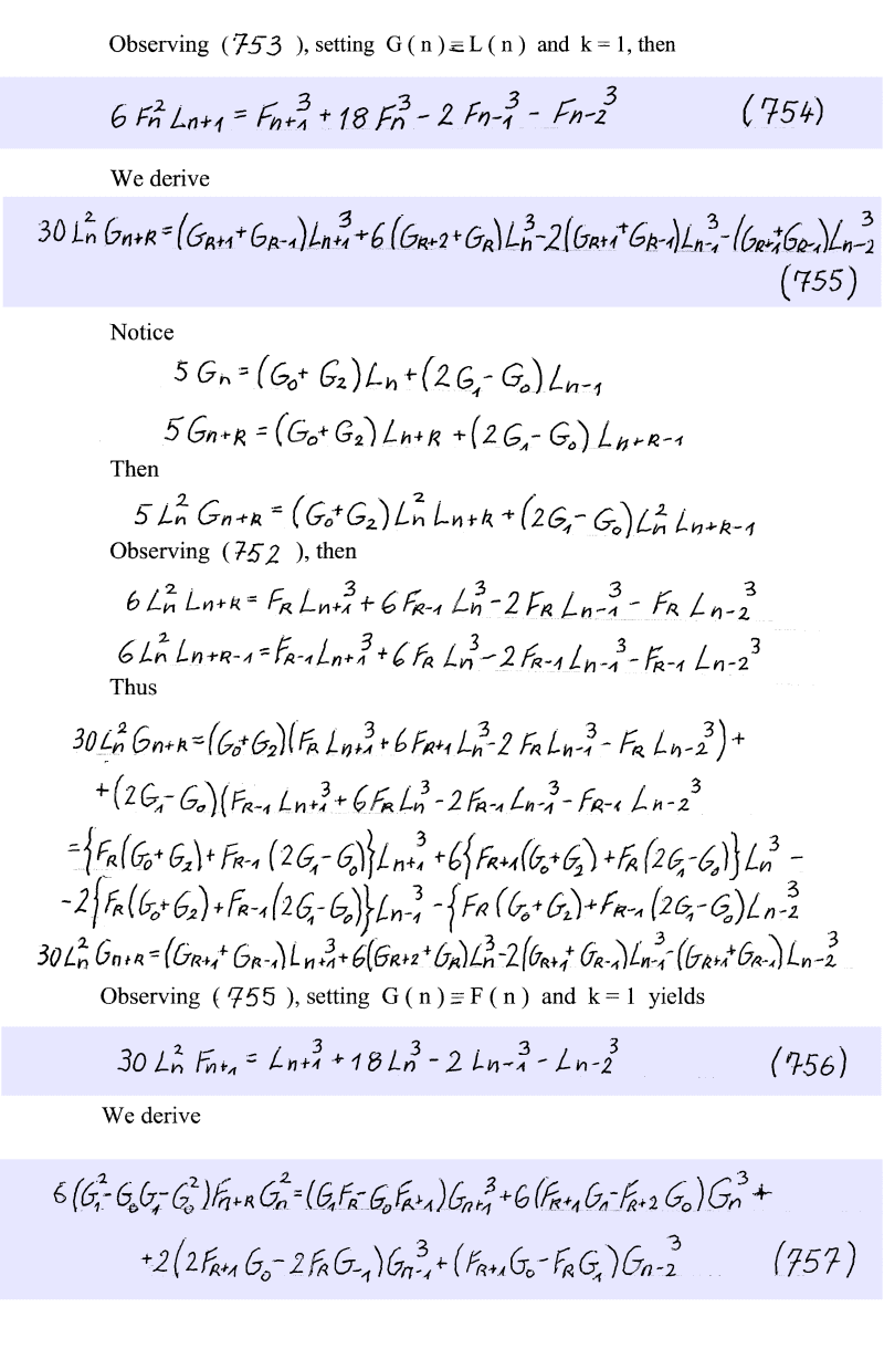
Formulae

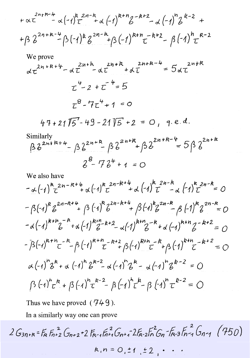
Formulae

Formulae

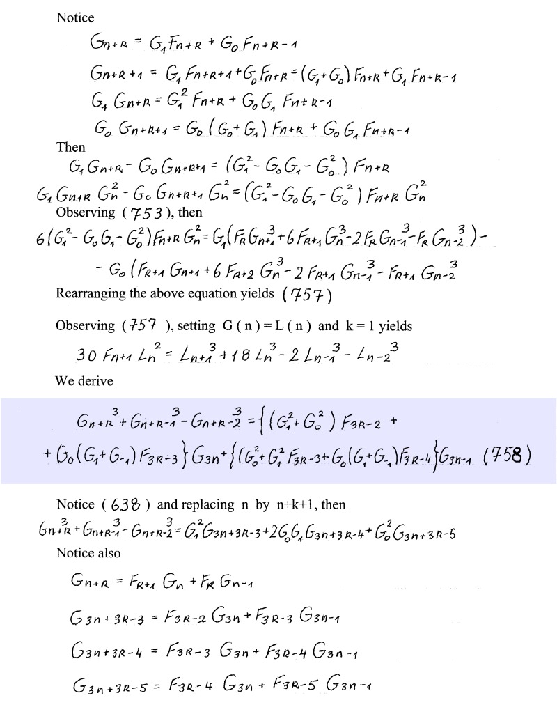
Formulae

Formulae

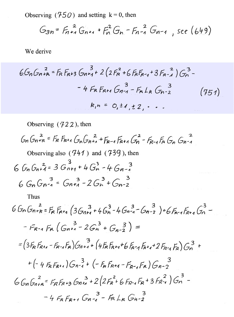
Formulae

Formulae

Formulae