[Home]

A Twenty-eighth Generalization

RabbitRabbitRabbit

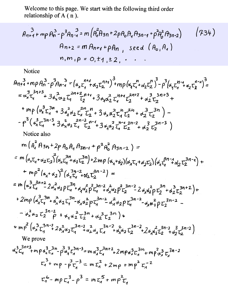
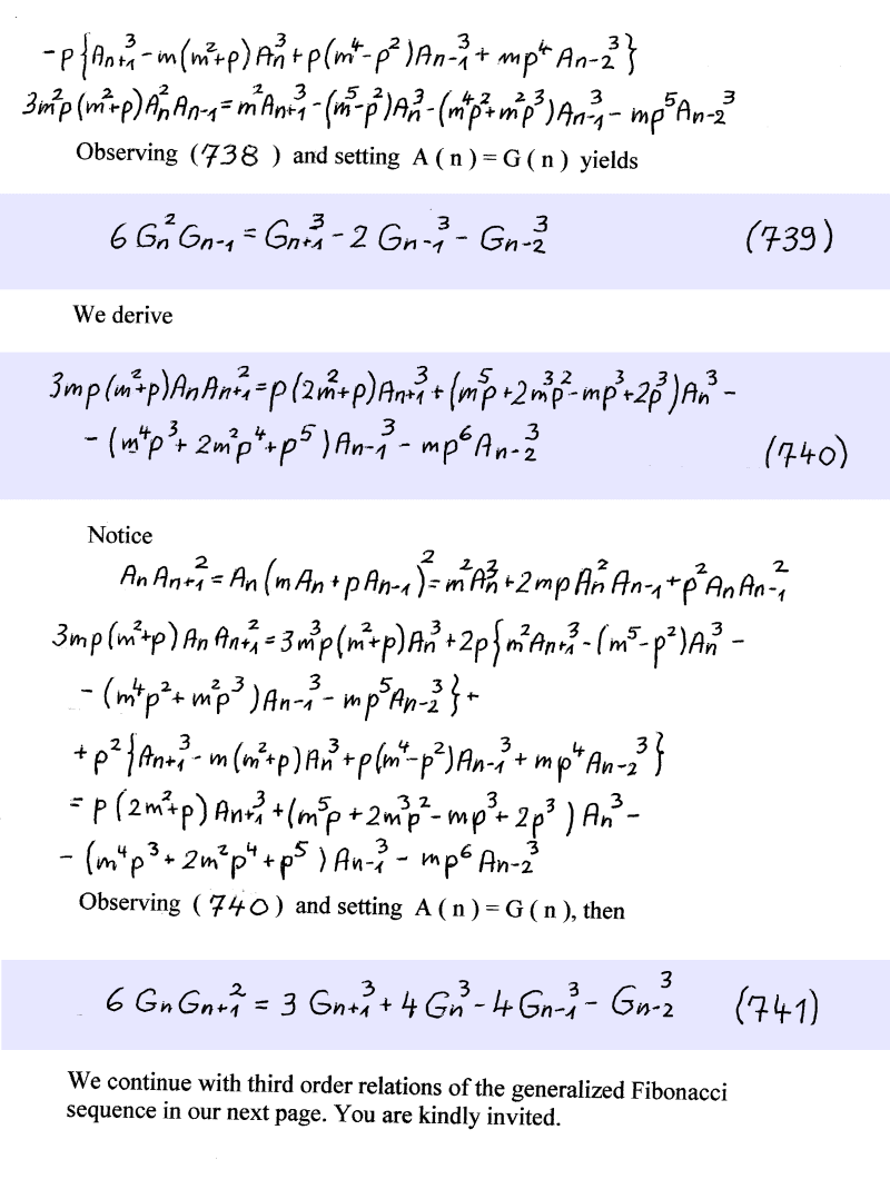
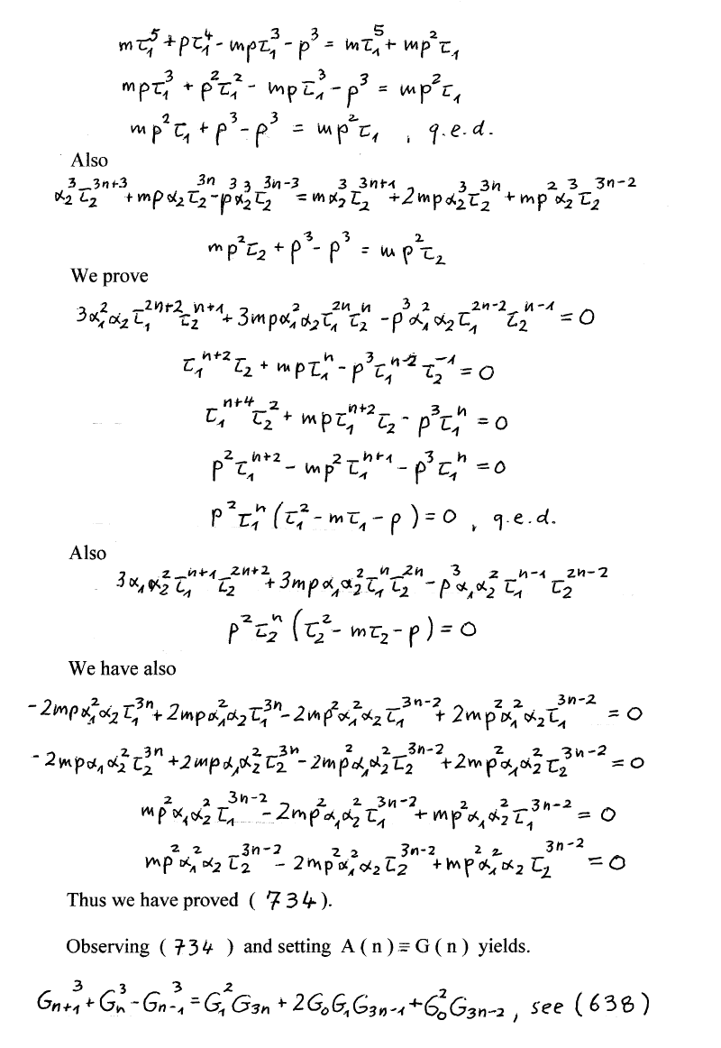
Formulae

Formulae

Formulae

Formulae

Formulae

Formulae