[Home]

A Twenty-seventh Generalization

RabbitRabbitRabbit

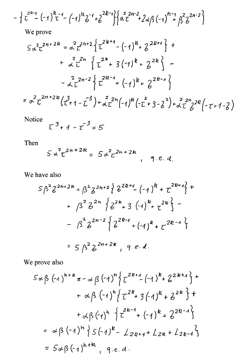
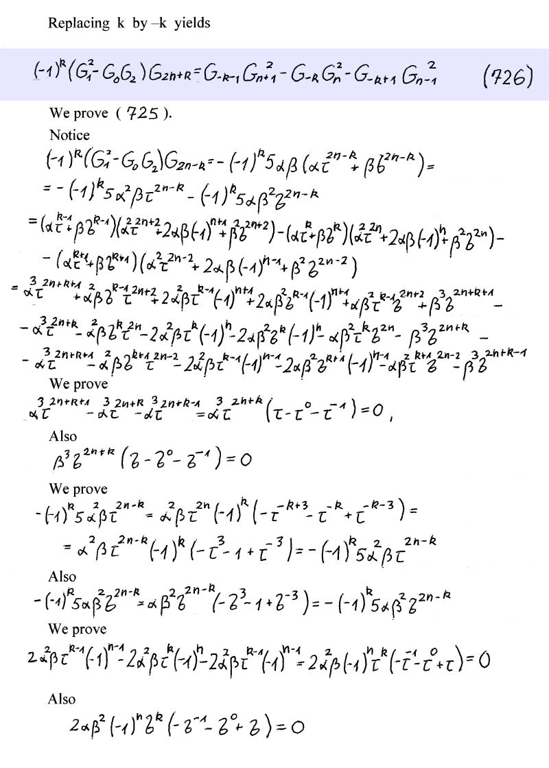
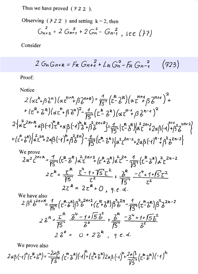
Formulae

Formulae

Formulae

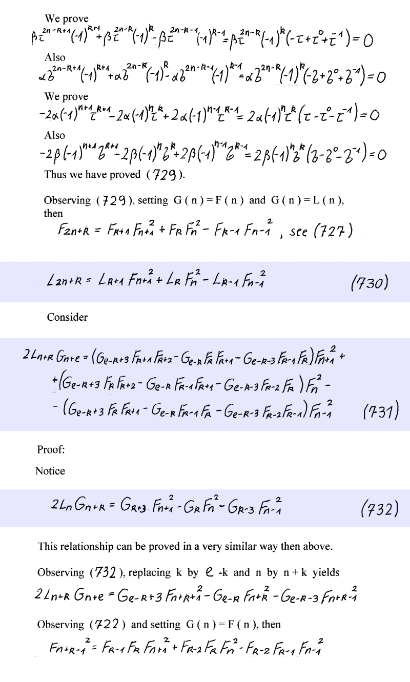
Formulae

Formulae

Formulae

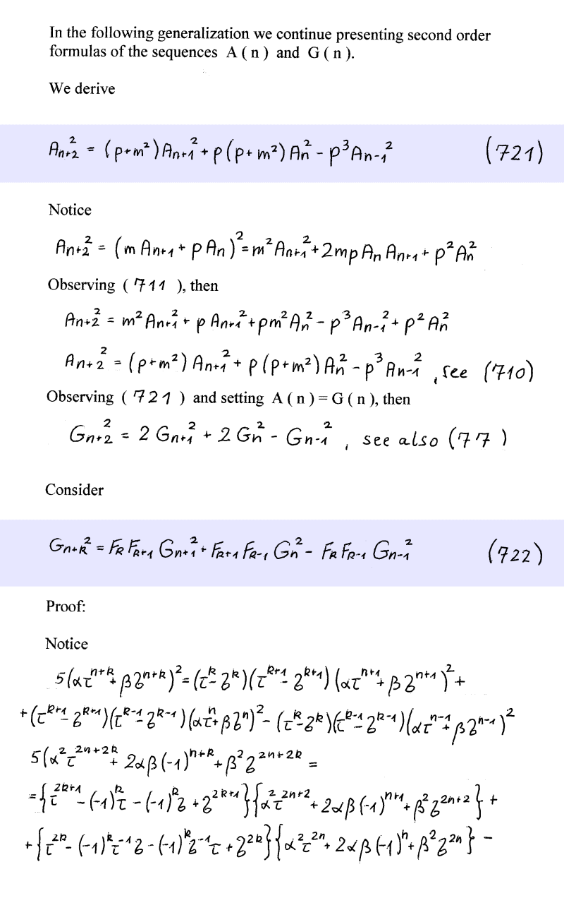
Formulae

Formulae