[Home]

A Twenty-sixth Generalization

RabbitRabbitRabbit

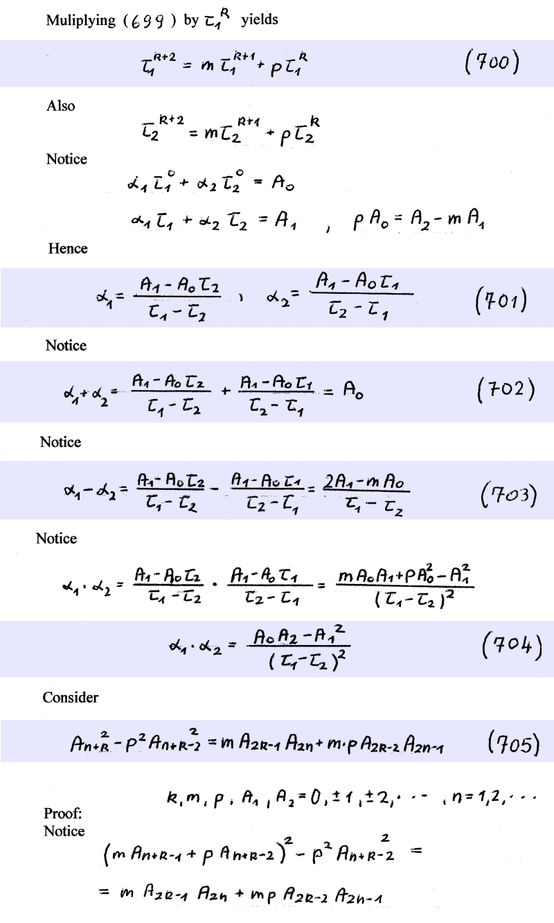
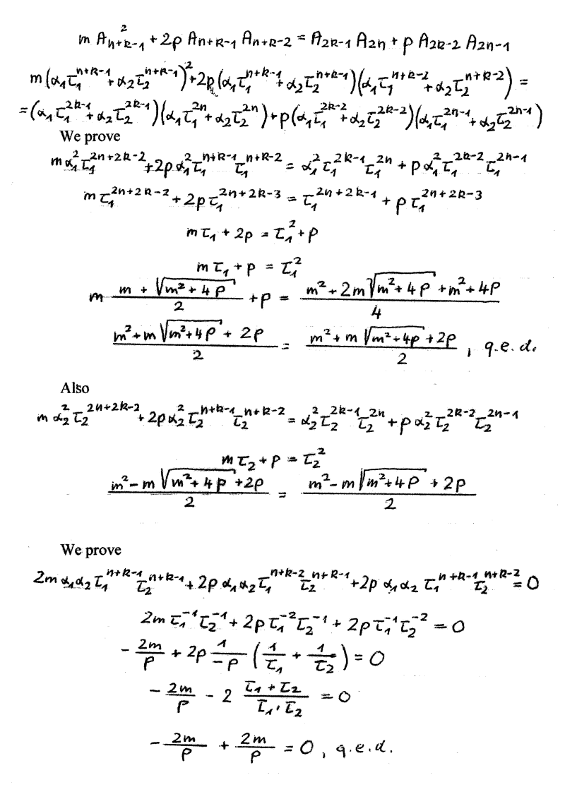
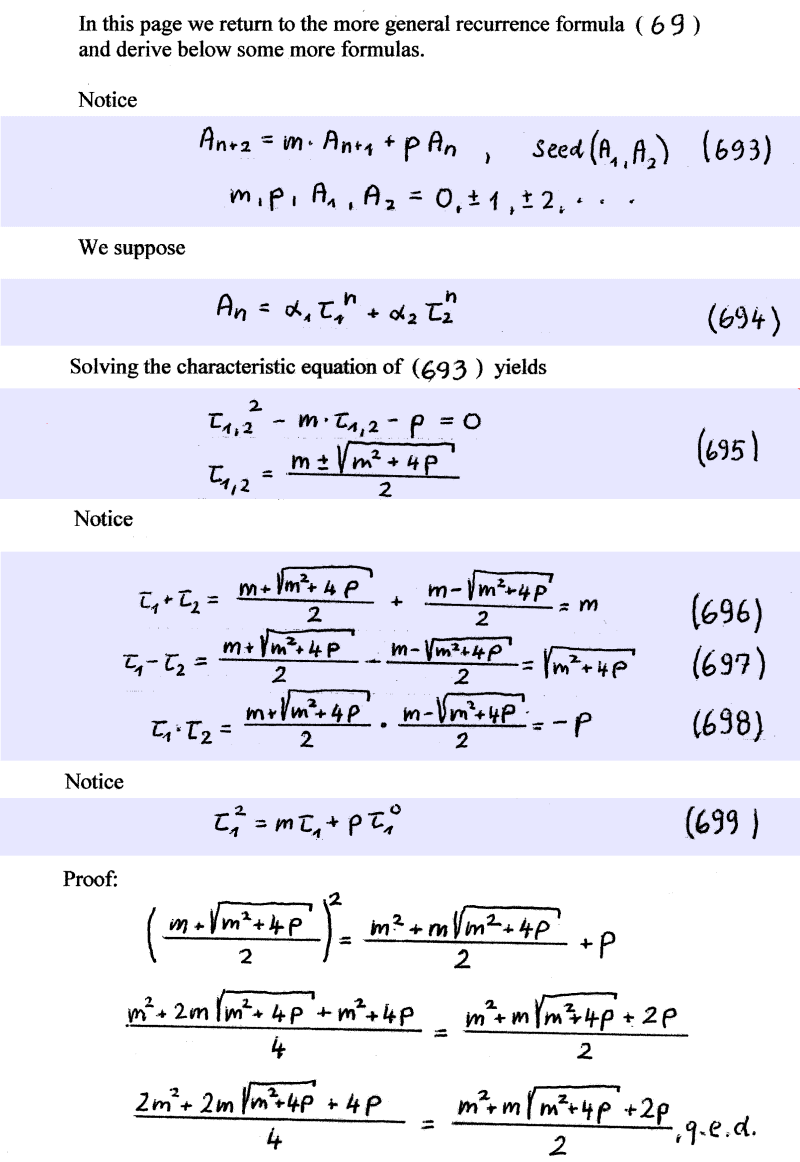
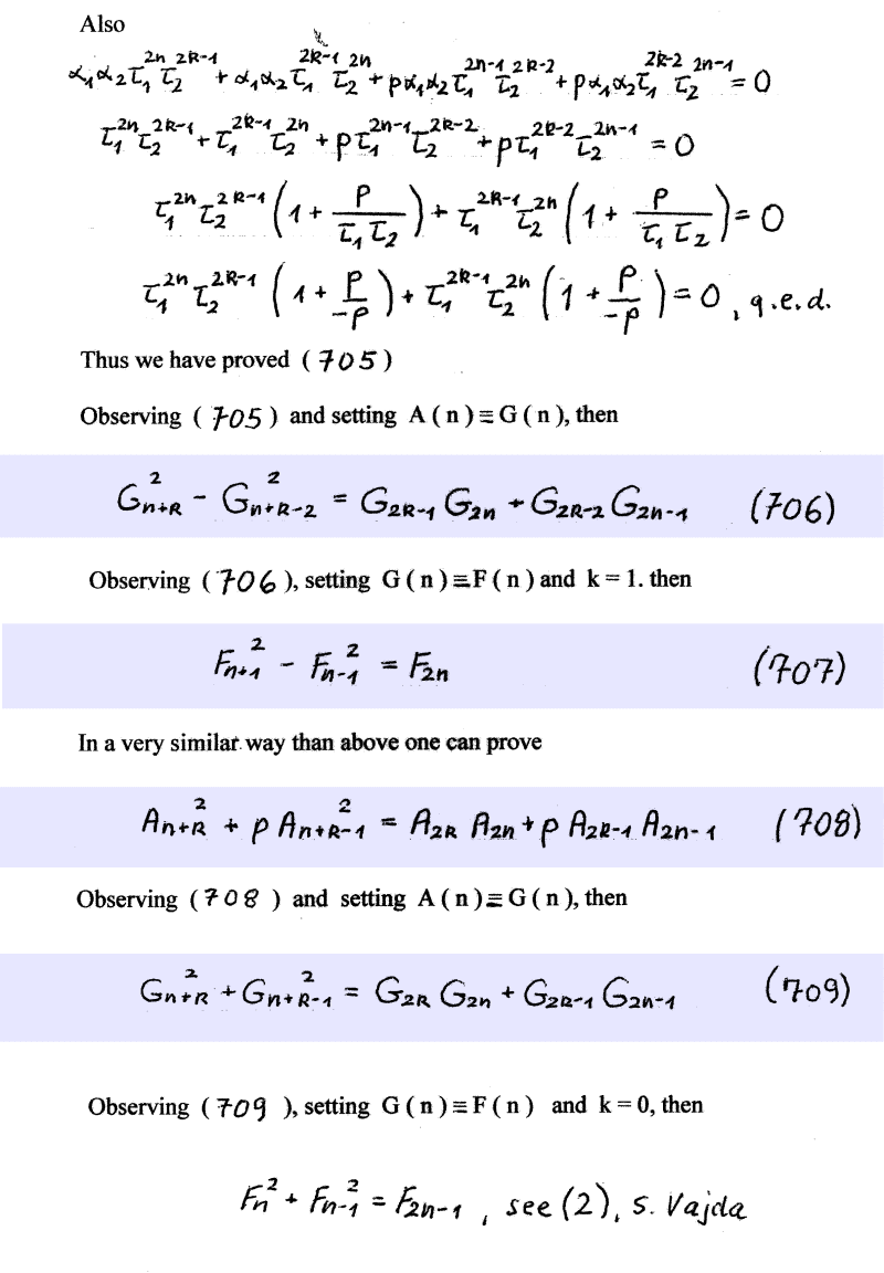
Formulae

Formulae

Formulae

Formulae

Formulae

Formulae

Formulae

Formulae