[Home]

A Twenty-fifth Generalization

RabbitRabbitRabbit

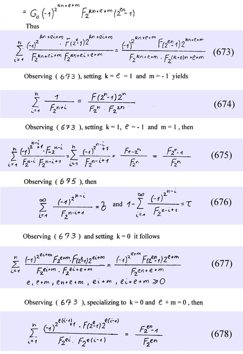
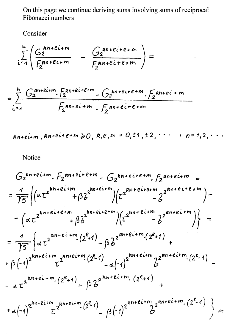
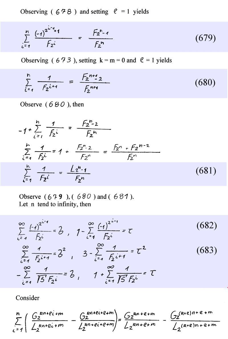
Formulae

Formulae

Formulae

Formulae

Formulae

Formulae