[Home]

A Twenty-fourth Generalization

RabbitRabbitRabbit

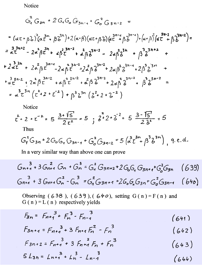
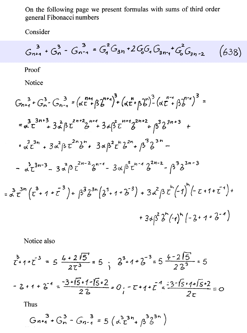
Formulae

Formulae

Formulae

Formulae

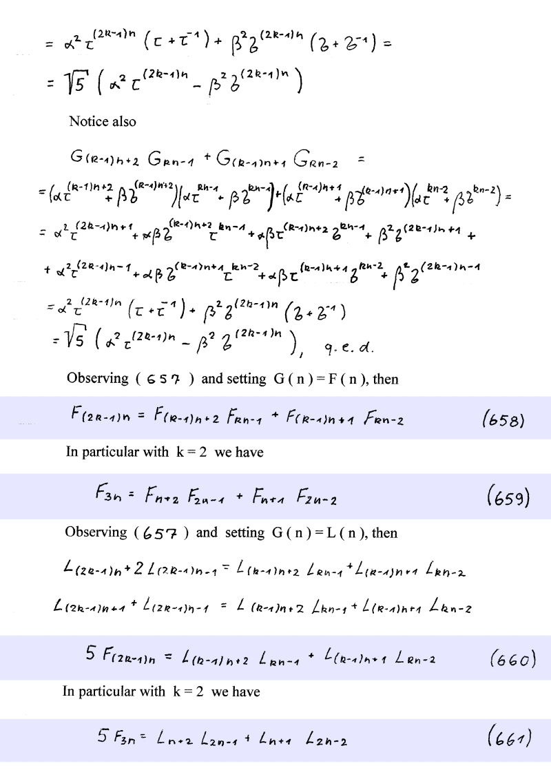
Formulae

Formulae

Formulae

Formulae

Formulae