[Home]

A Twenty-third Generalization

RabbitRabbitRabbit

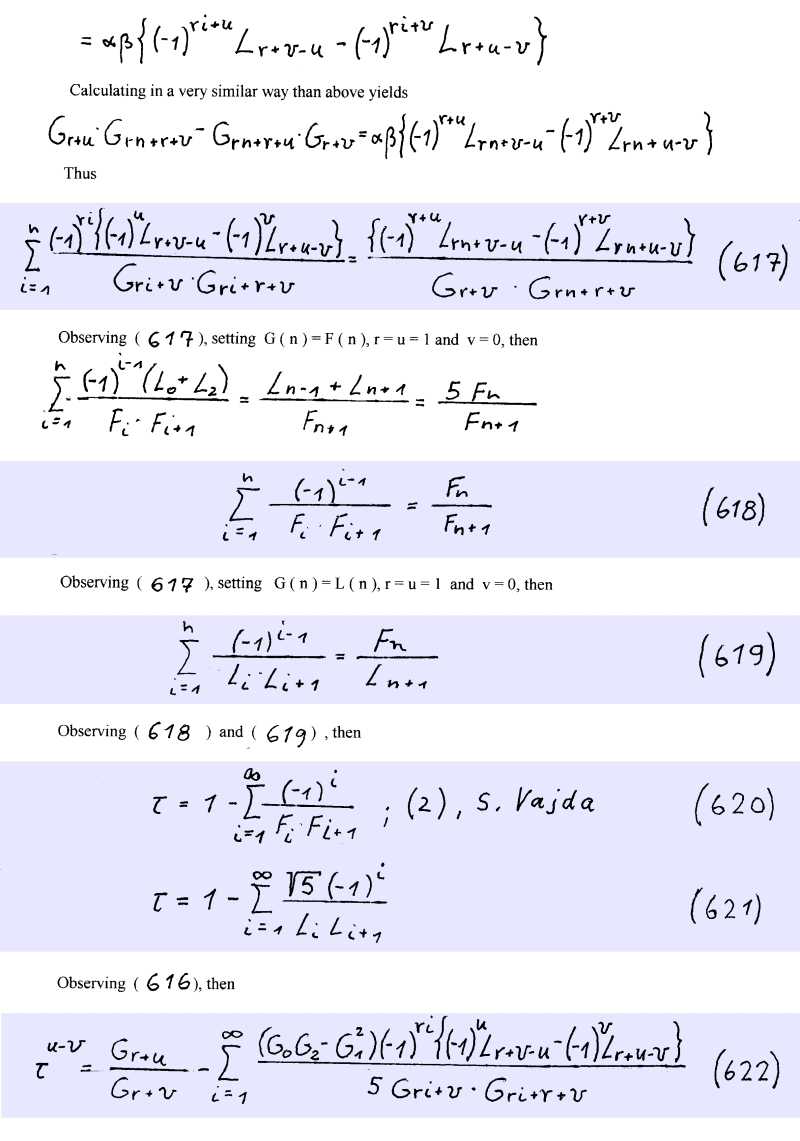
Formulae

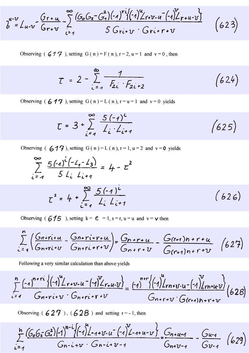
Formulae

Formulae

Formulae

Formulae