[Home]

A Twenty-second Generalization

RabbitRabbitRabbit

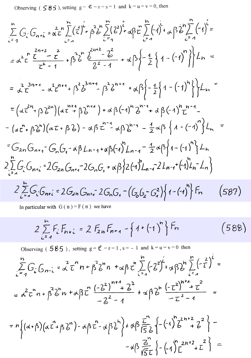
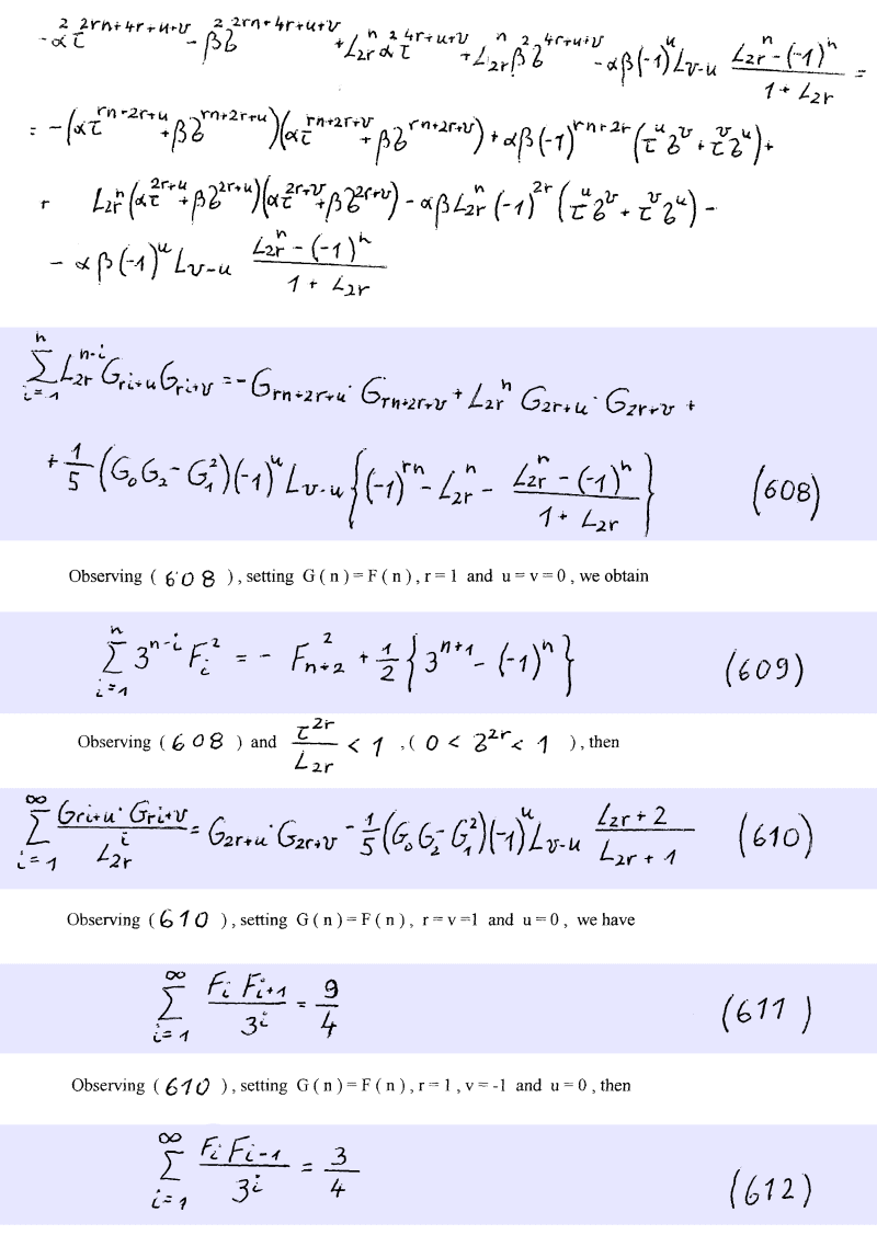
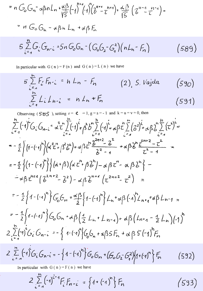
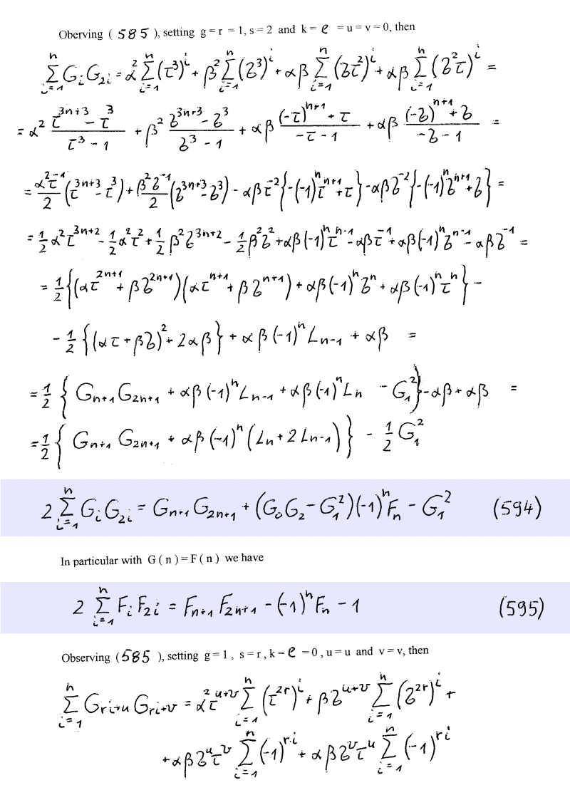
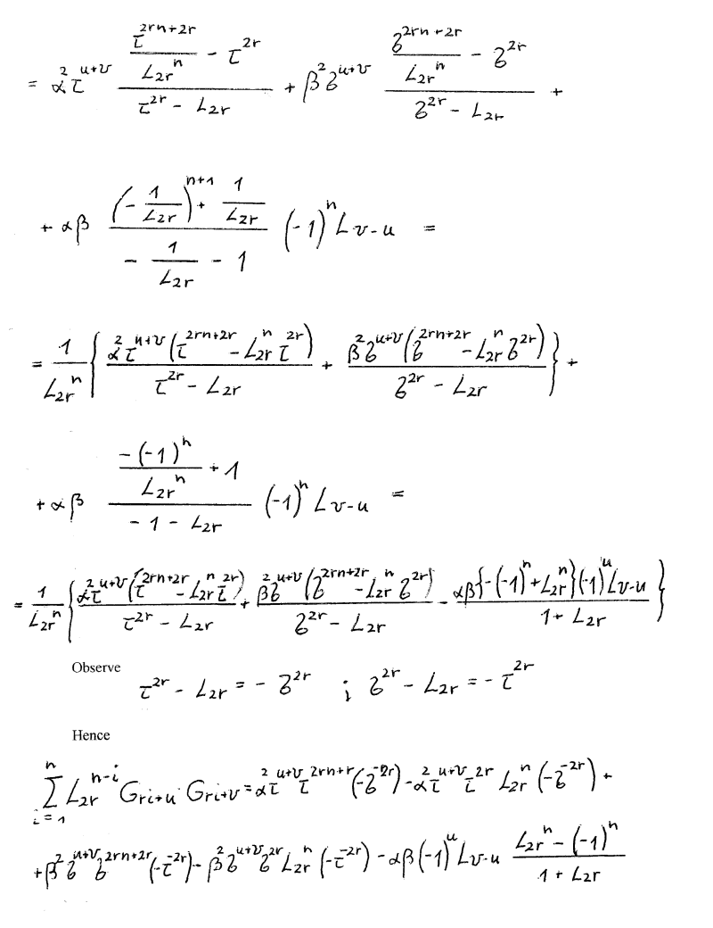
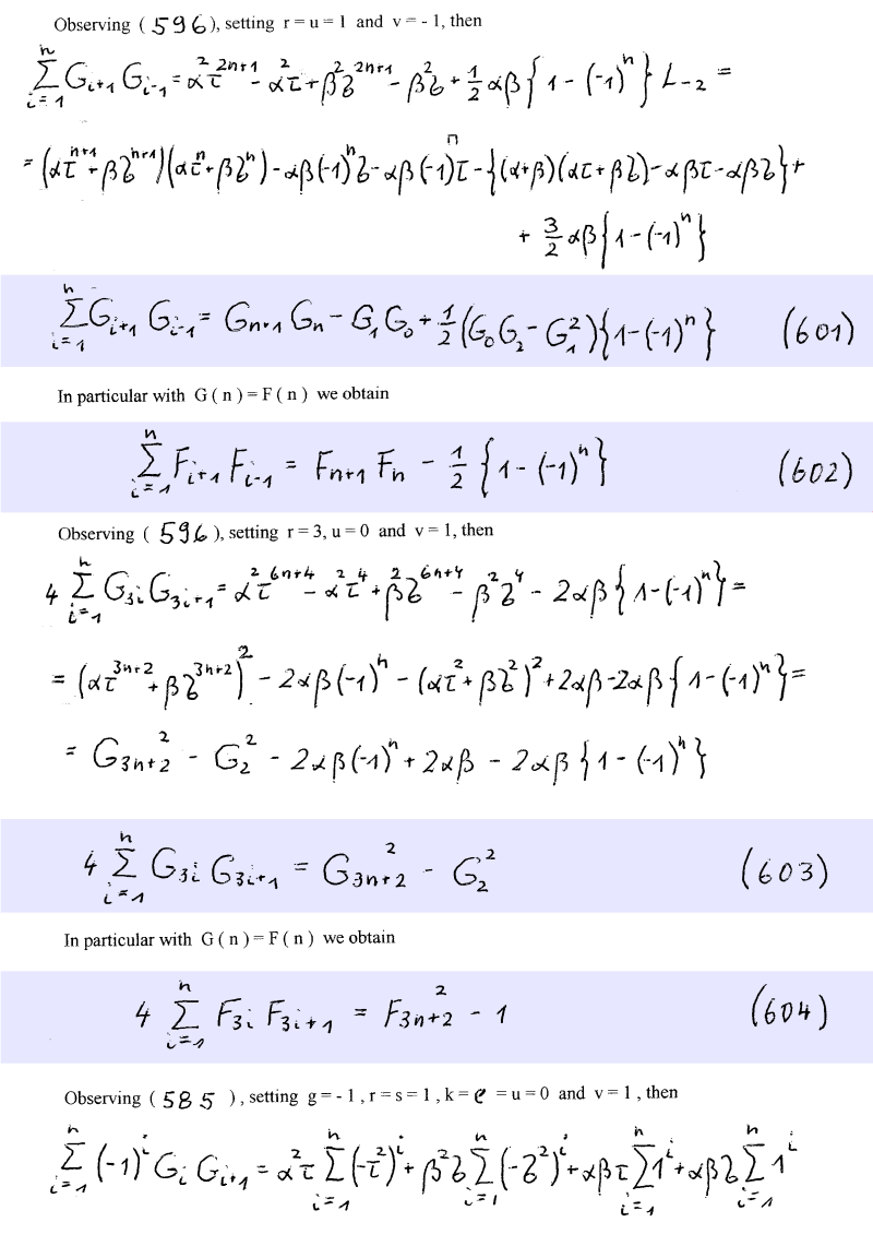
Formulae

Formulae

Formulae

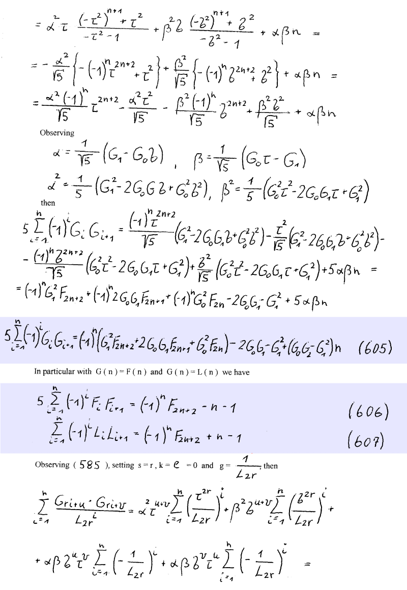
Formulae

Formulae

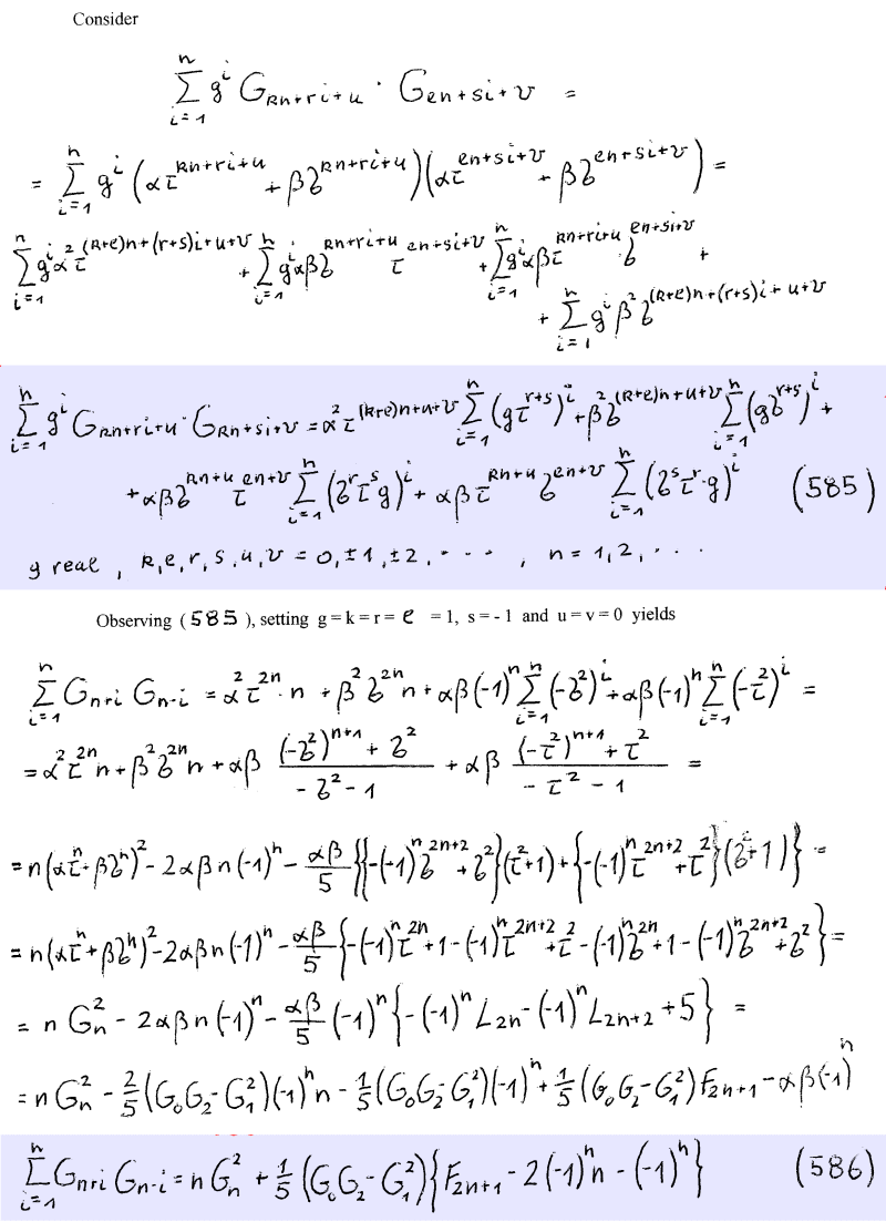
Formulae

Formulae

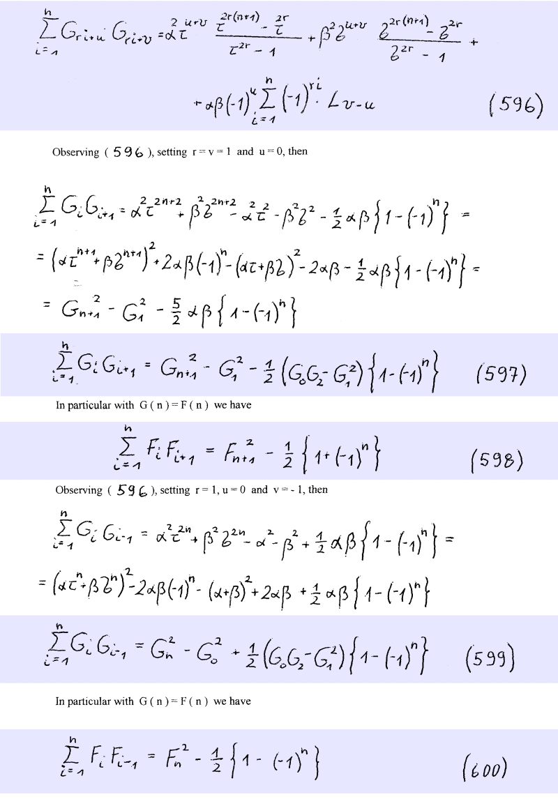
Formulae

Formulae

Formulae