[Home]

A Twenty-first Generalization

RabbitRabbitRabbit

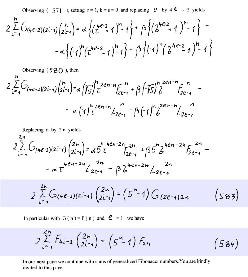
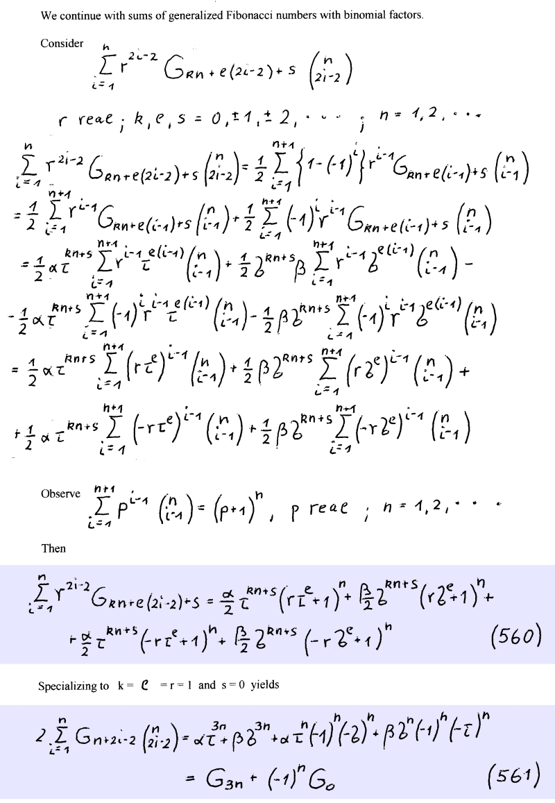
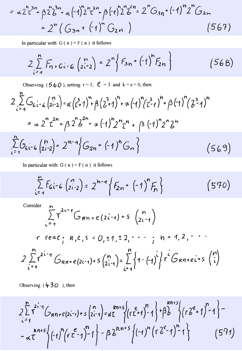
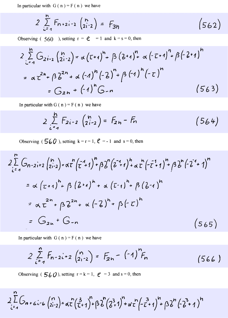
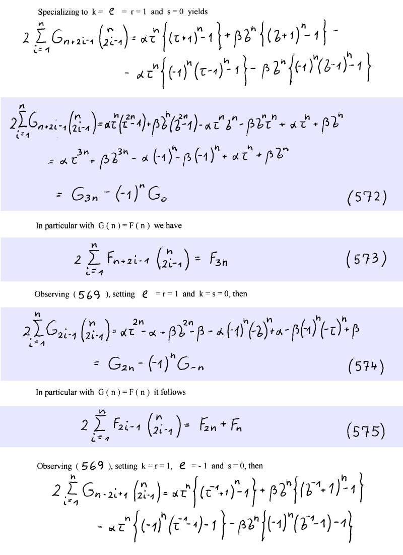
Formulae

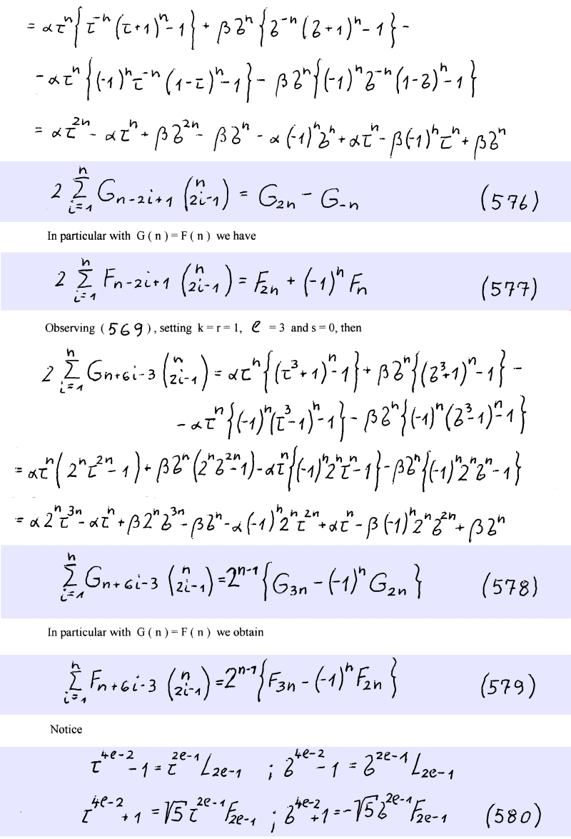
Formulae

Formulae

Formulae

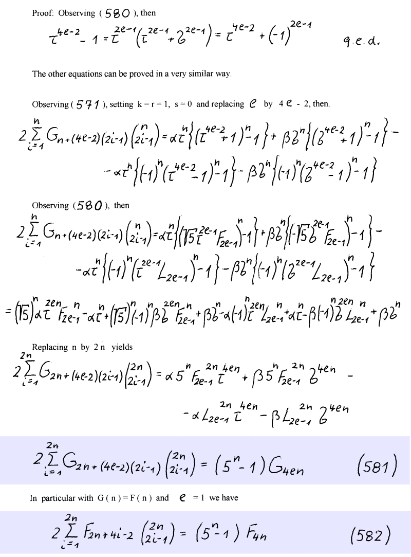
Formulae

Formulae

Formulae