[Home]

A Twentieth Generalization

RabbitRabbitRabbit

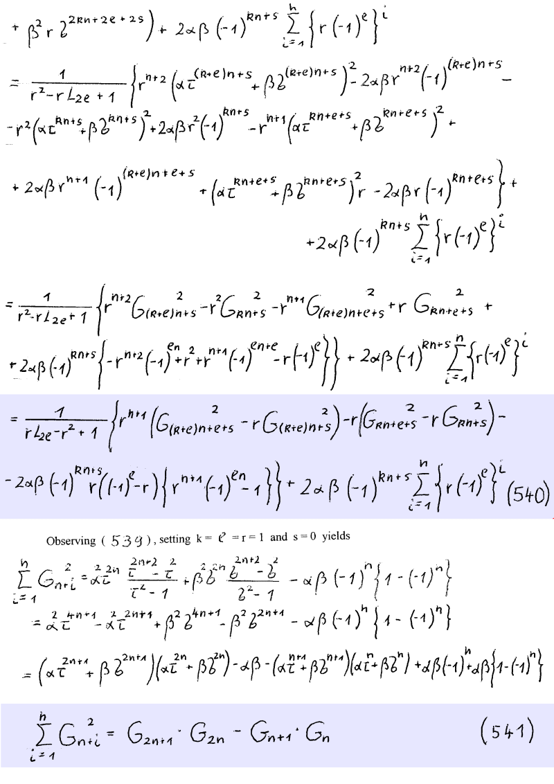
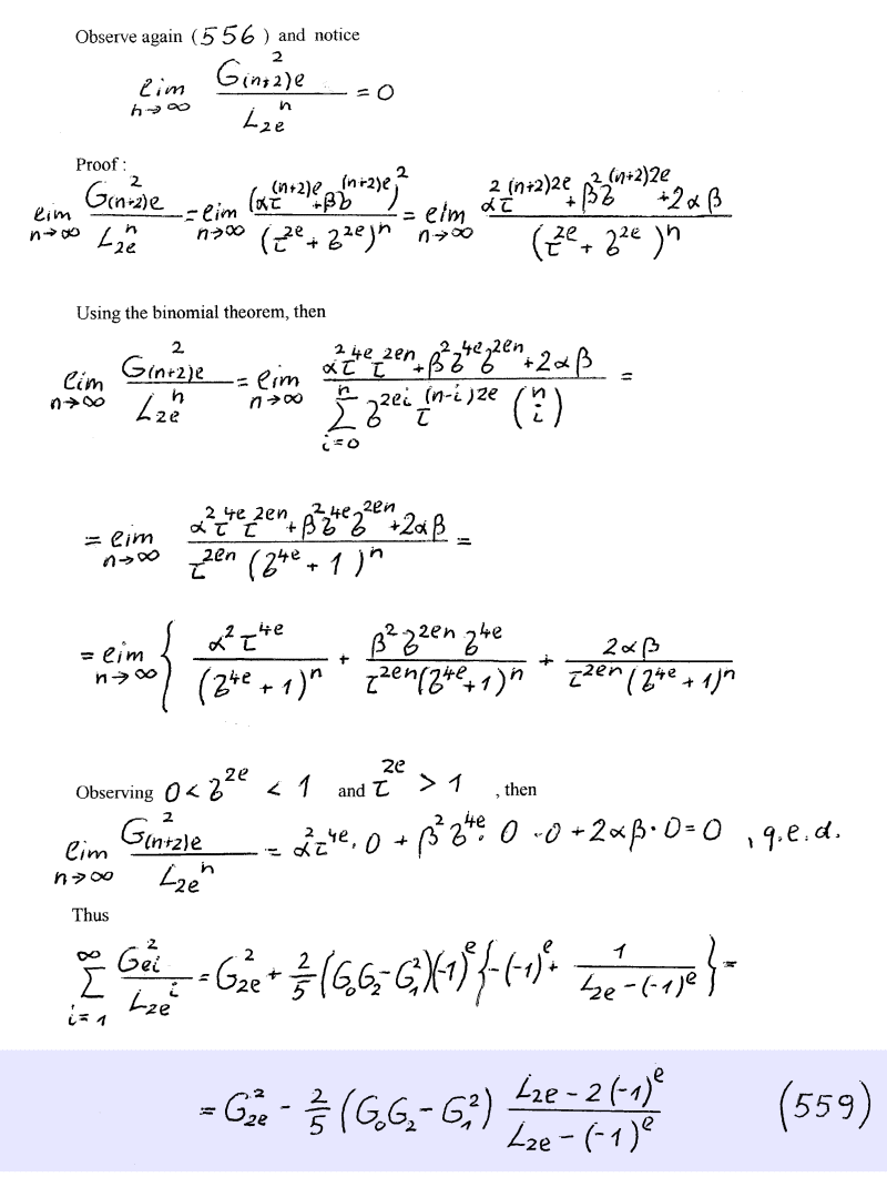
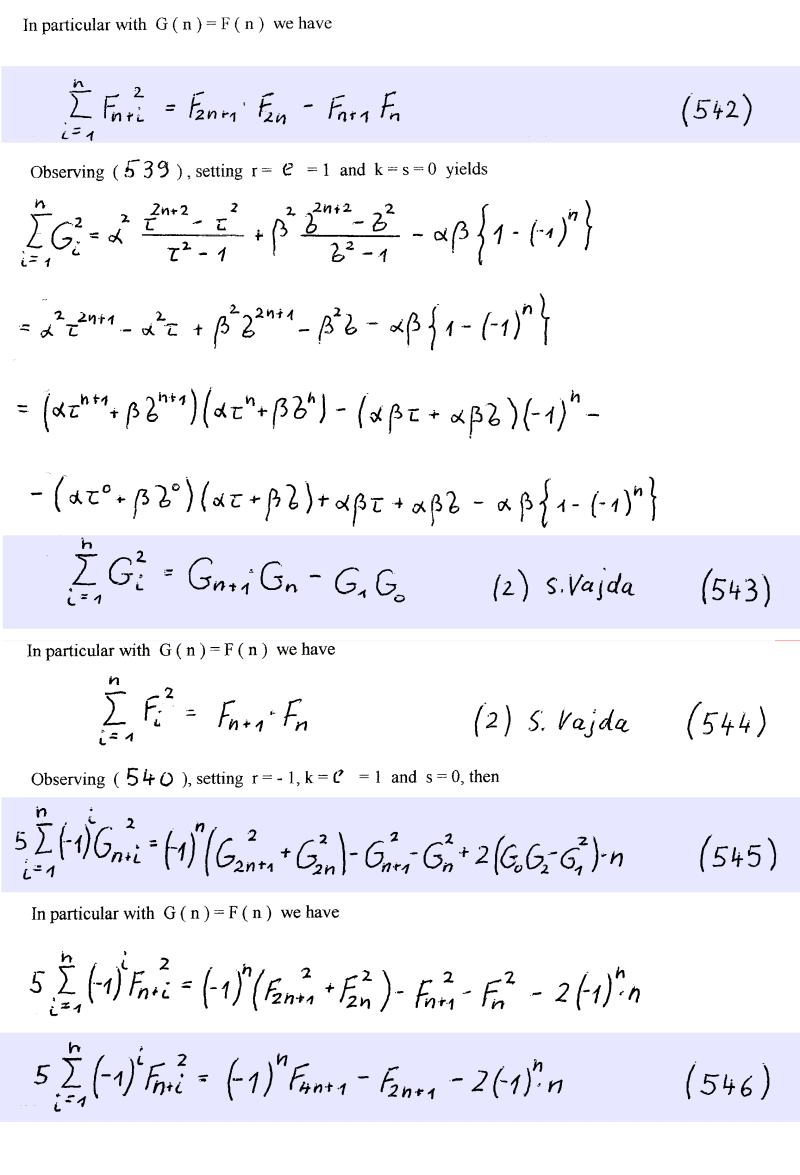
Formulae

Formulae

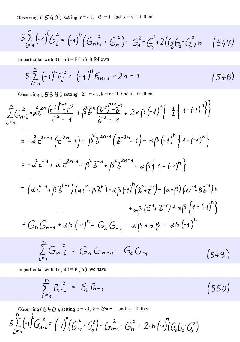
Formulae

Formulae

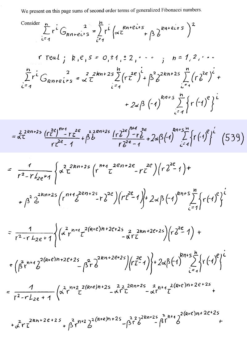
Formulae

Formulae

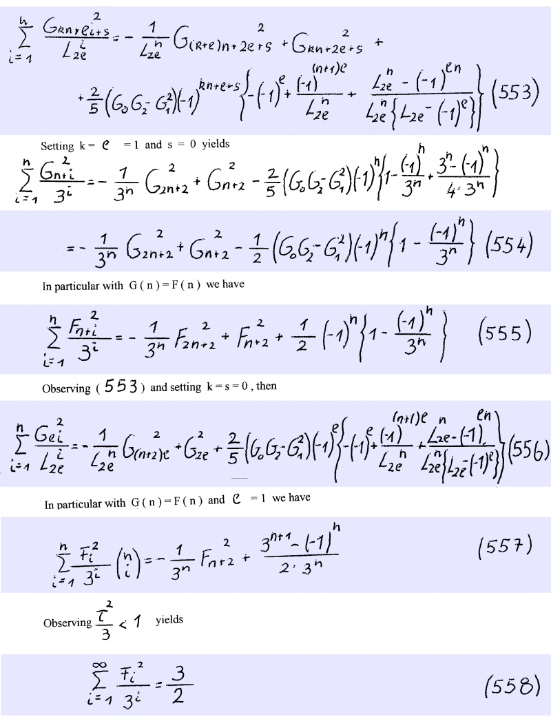
Formulae

Formulae