[Home]

A Nineteenth Generalization

RabbitRabbitRabbit

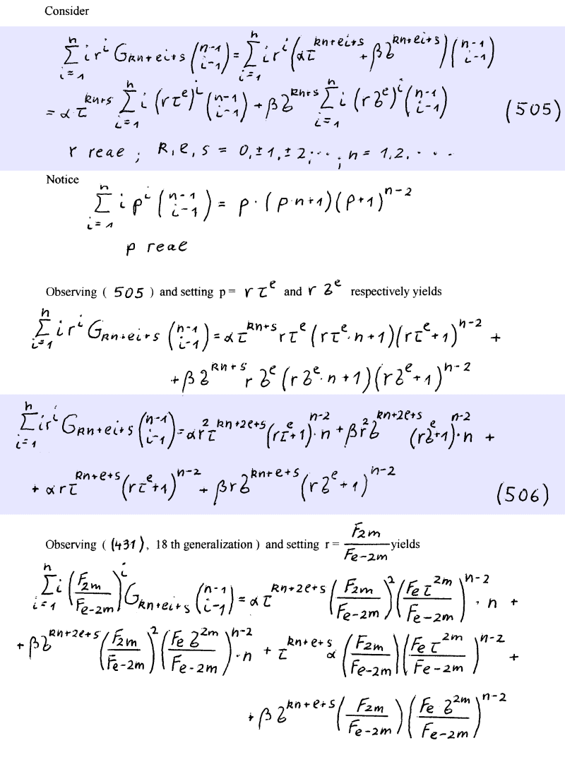
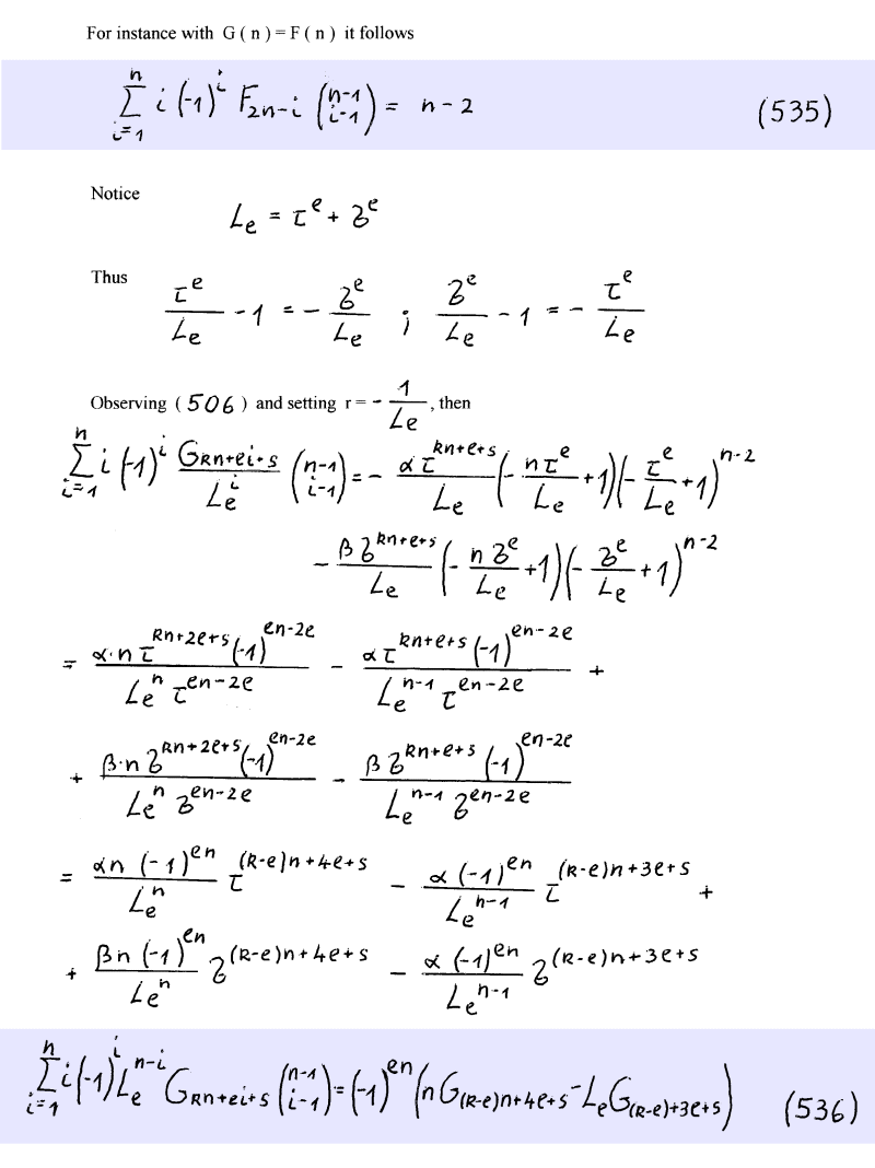
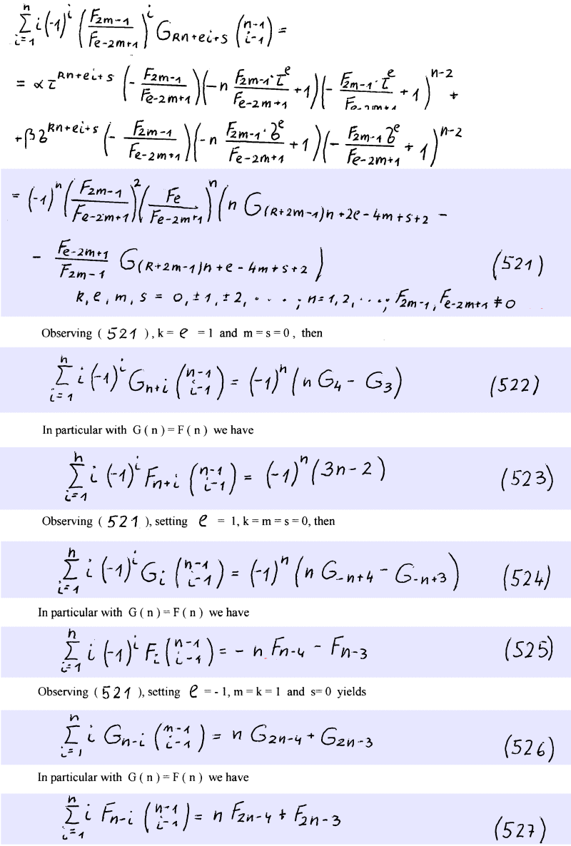
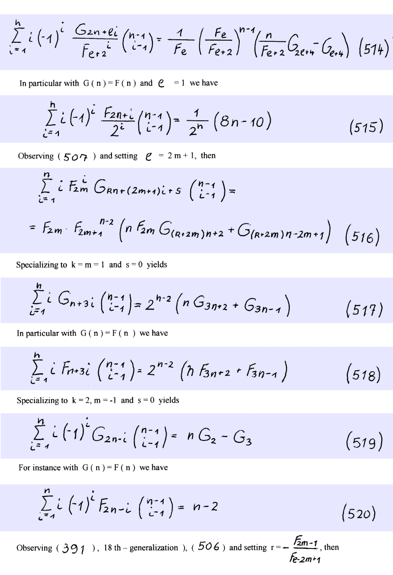
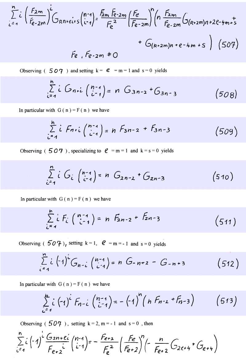
Formulae

Formulae

Formulae

Formulae

Formulae

Formulae

Formulae