[Home]

An Eighteenth Generalization

RabbitRabbitRabbit

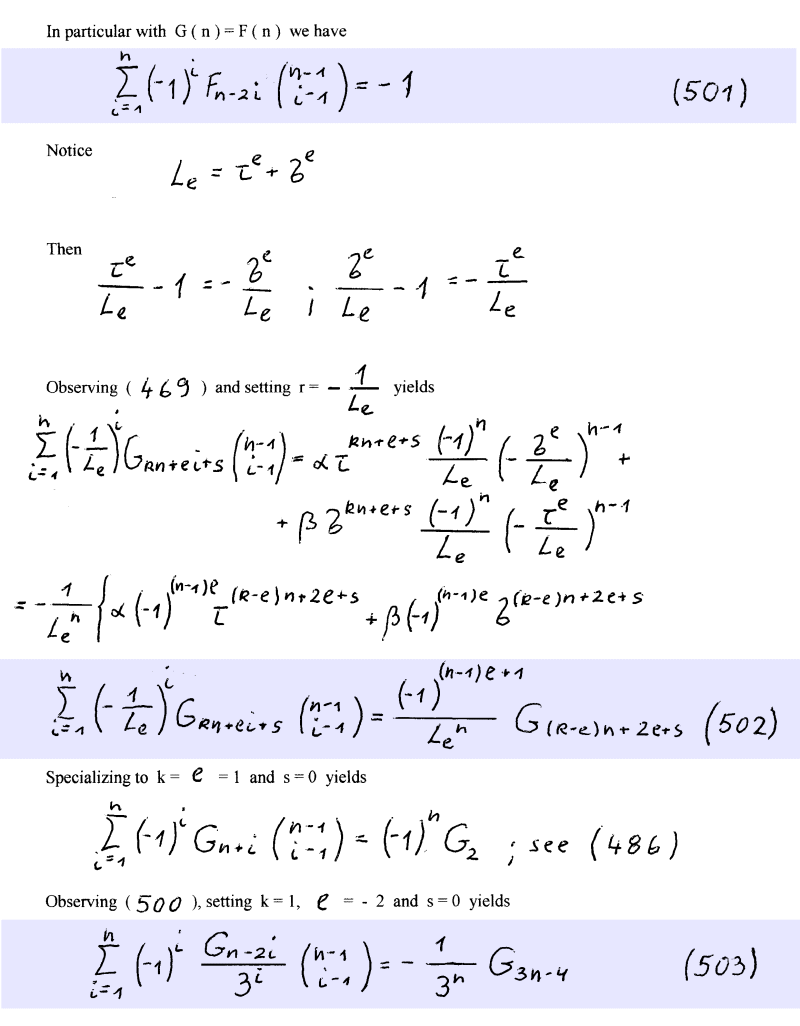
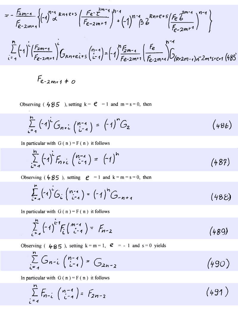
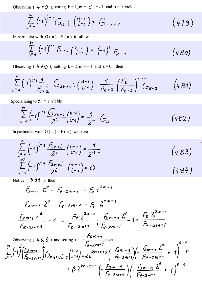
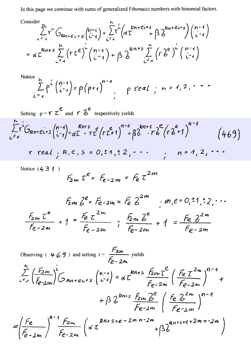
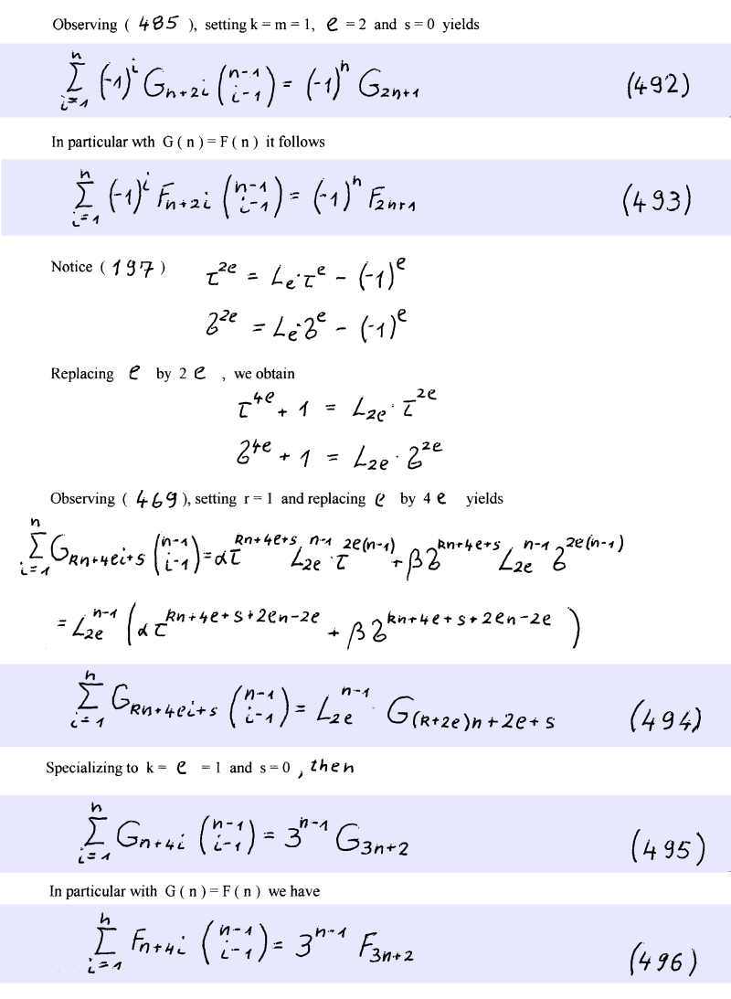
Formulae

Formulae

Formulae

Formulae

Formulae

Formulae

Formulae

Formulae