[Home]

A Seventeenth Generalization

RabbitRabbitRabbit

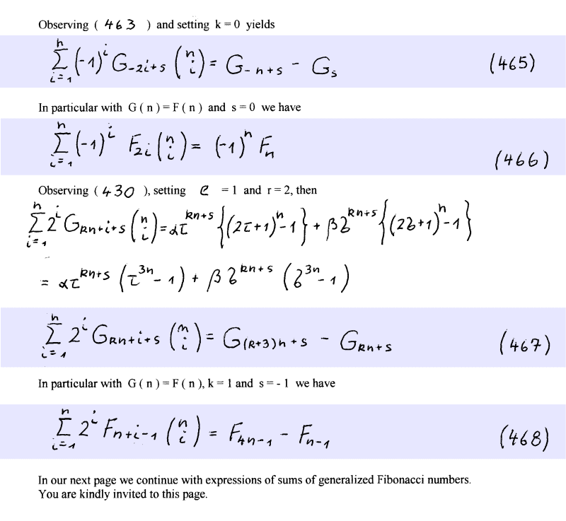
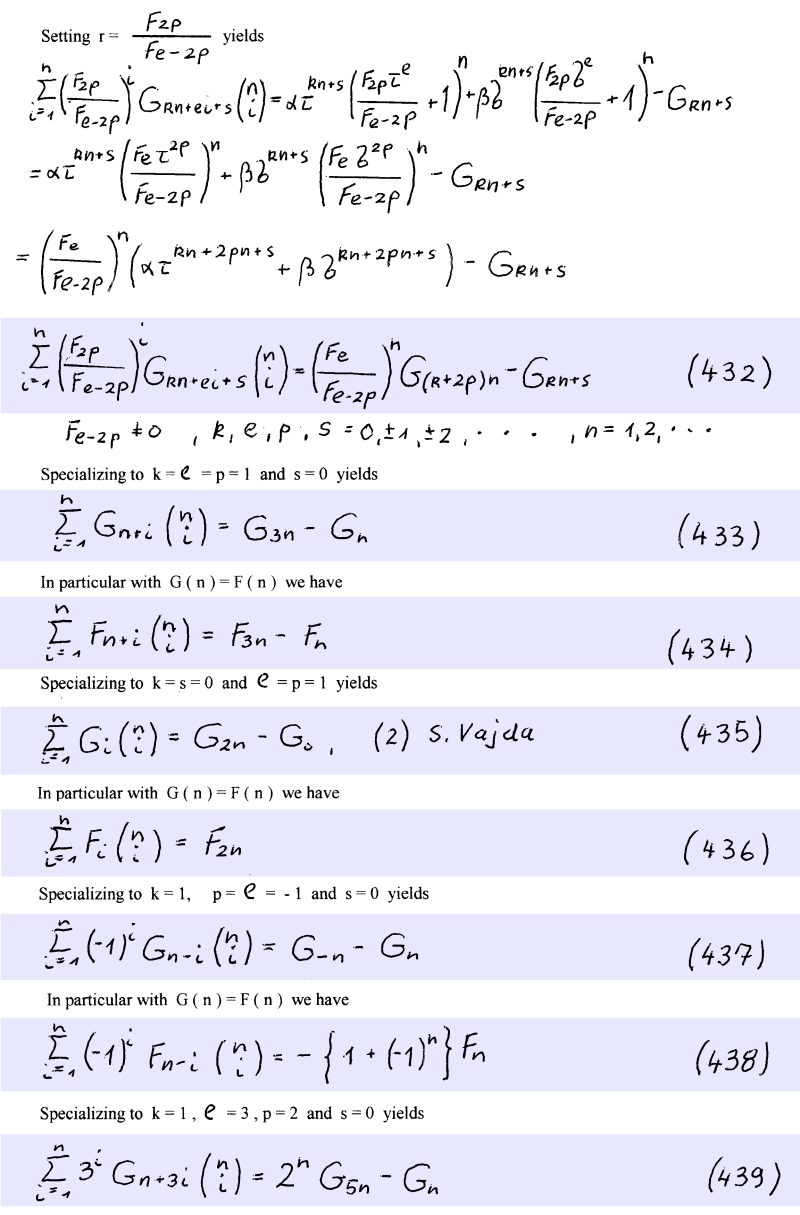
Formulae

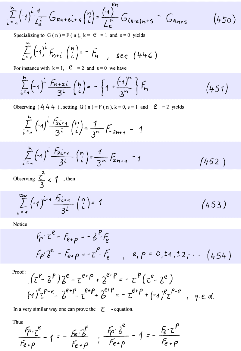
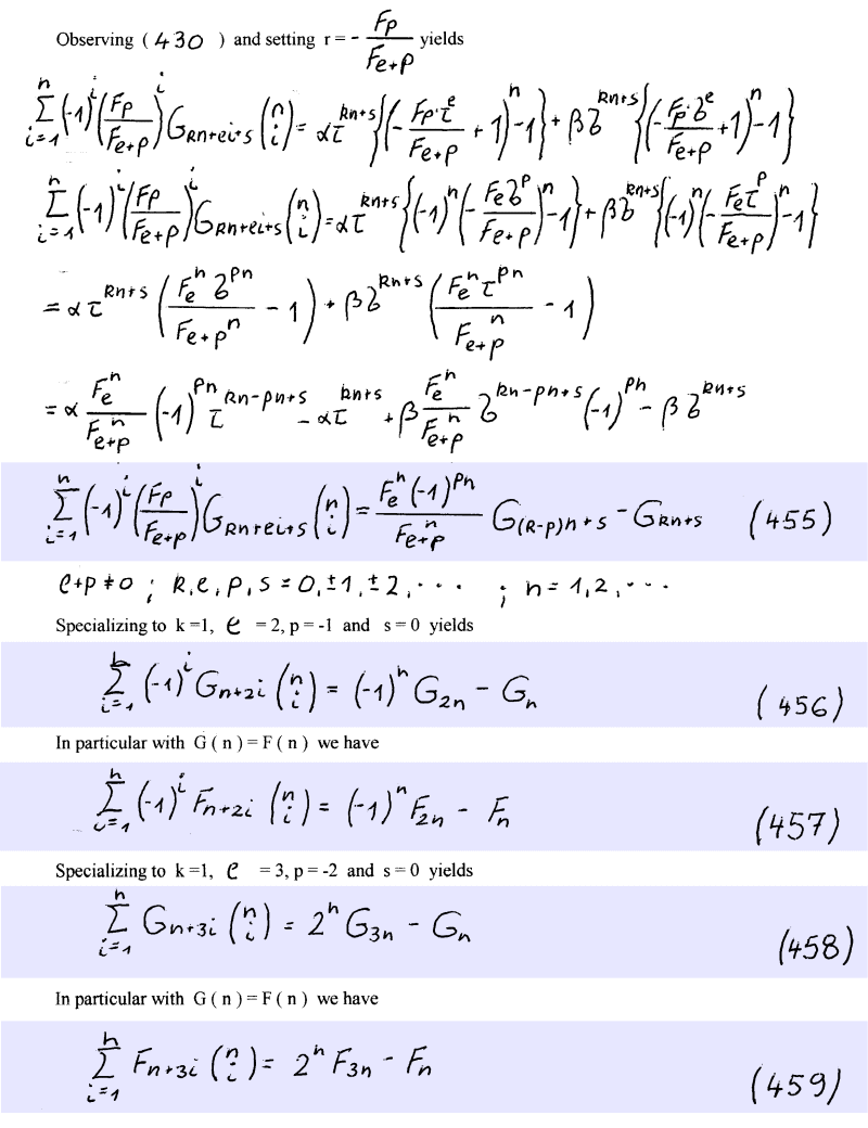
Formulae

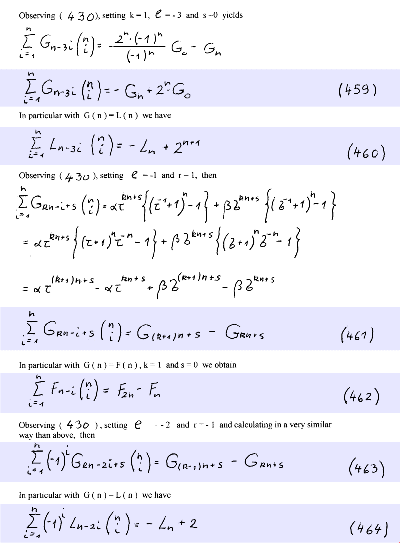
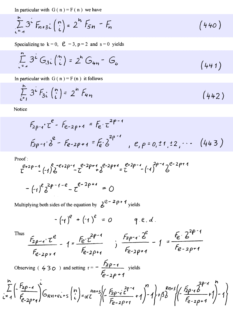
Formulae

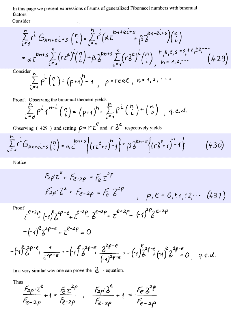
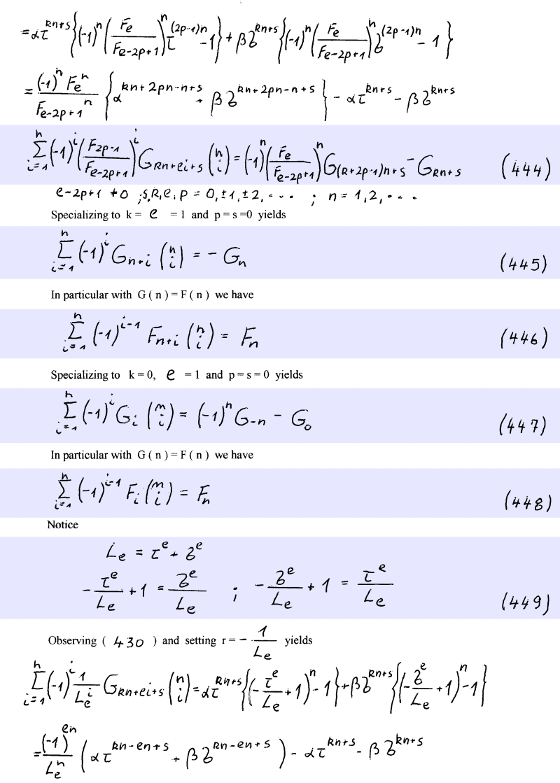
Formulae

Formulae

Formulae

Formulae

Formulae