[Home]

A Sixteenth Generalization

RabbitRabbitRabbit

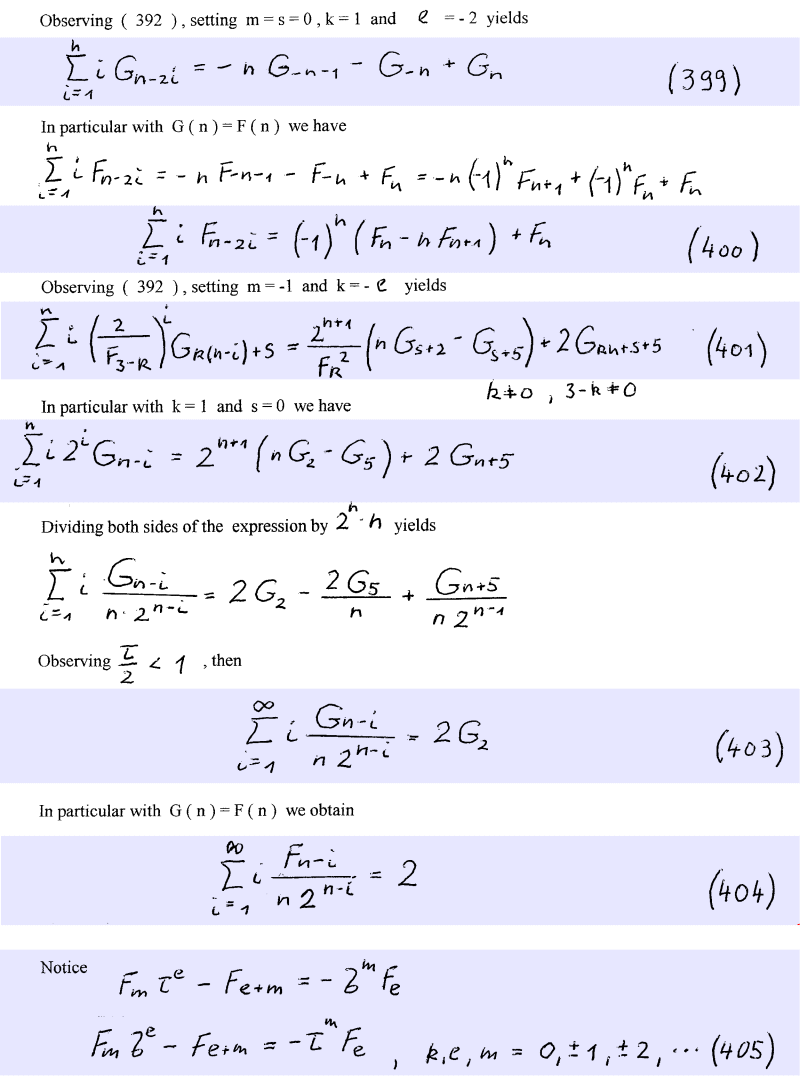
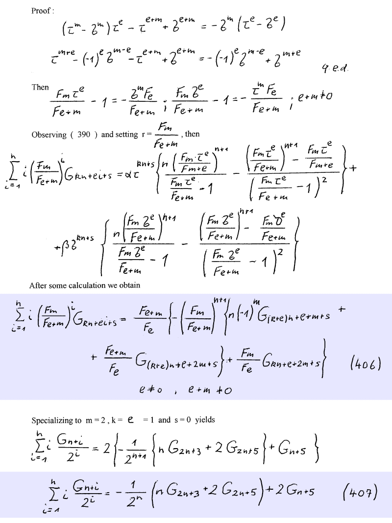
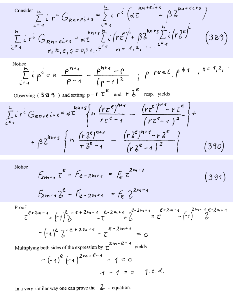
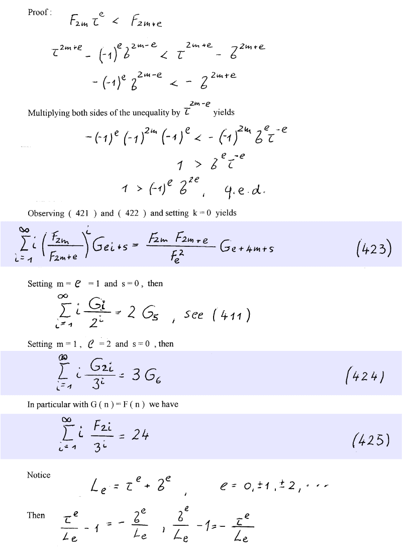
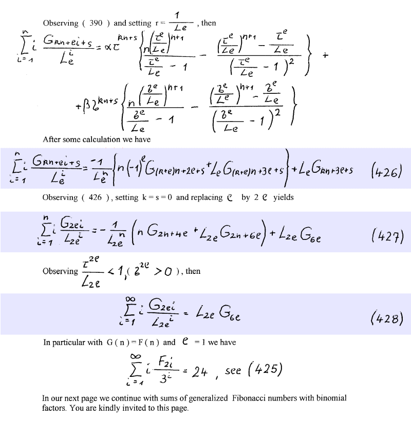
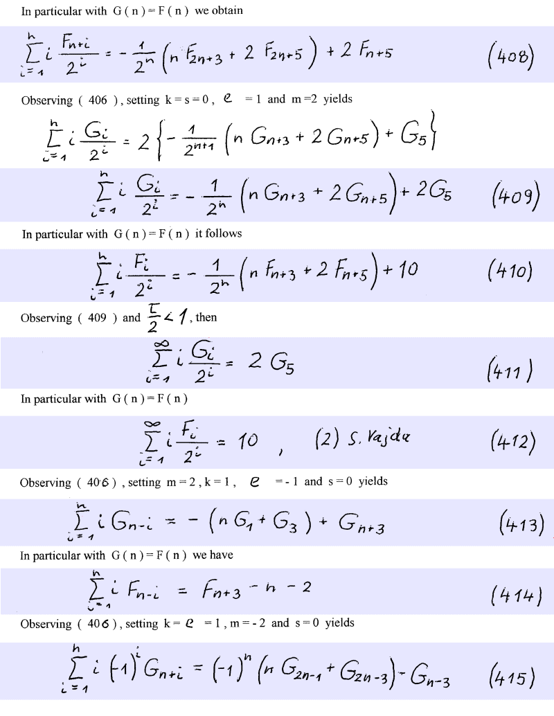
Formulae

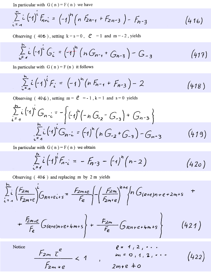
Formulae

Formulae

Formulae

Formulae

Formulae

Formulae

Formulae