[Home]

A Fifteenth Generalization

RabbitRabbitRabbit

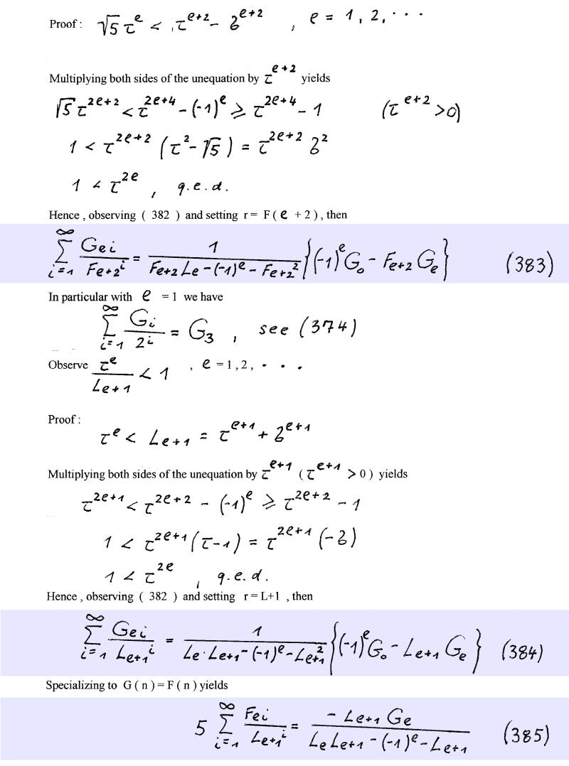
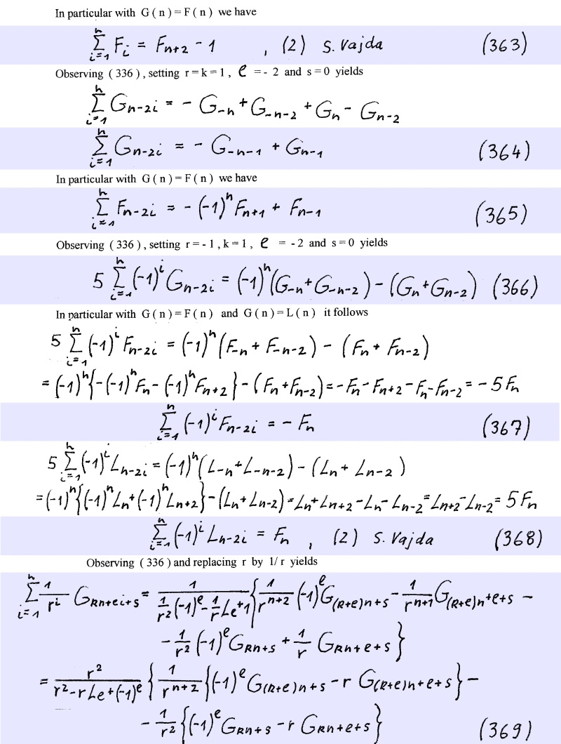
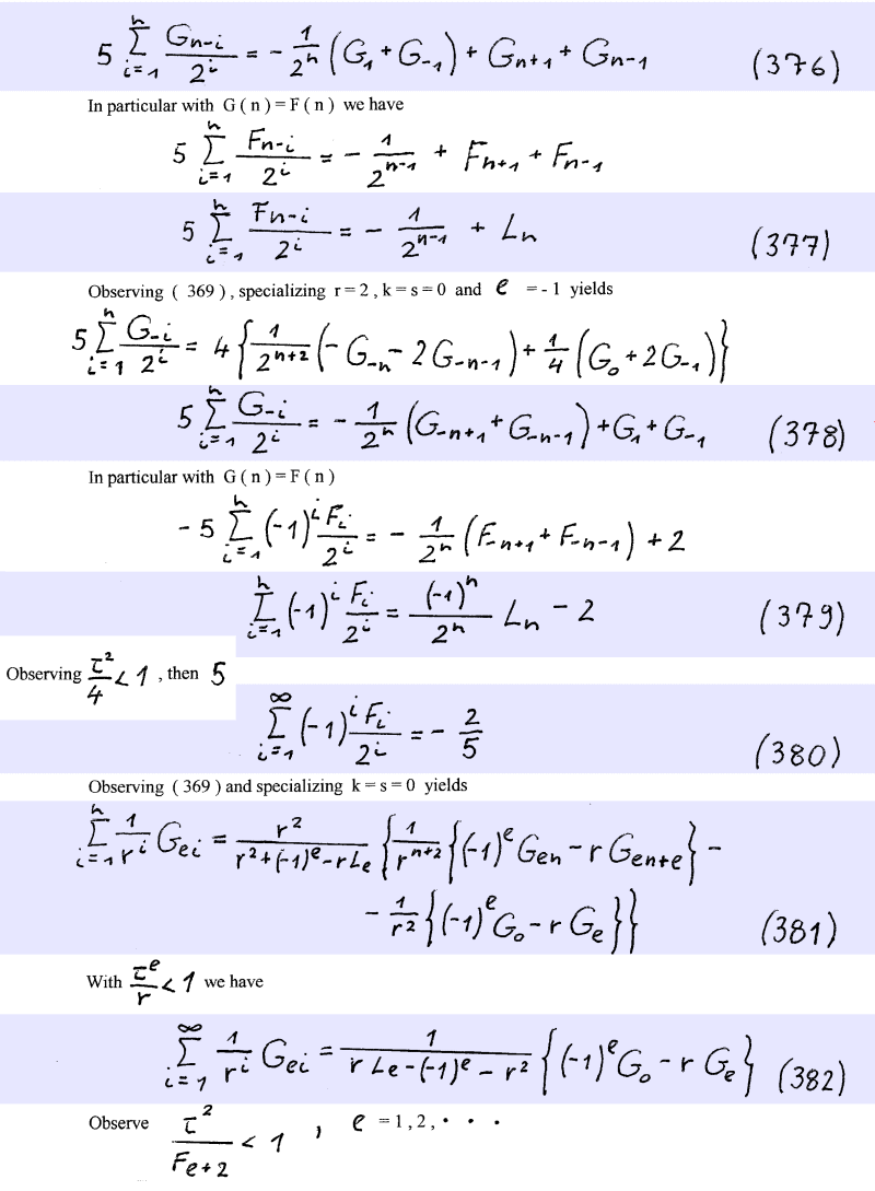
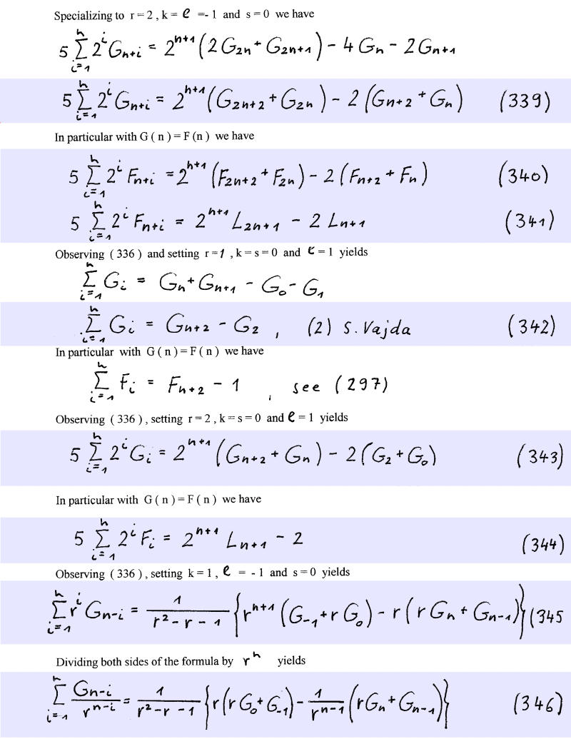
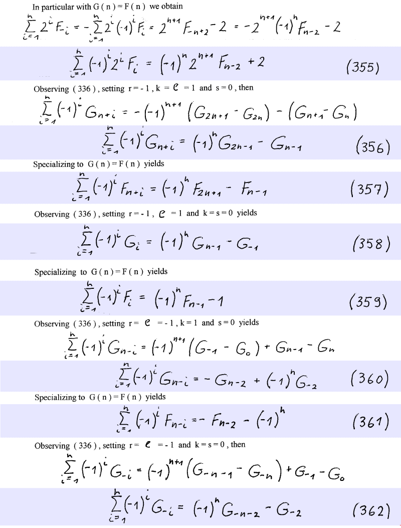
Formulae

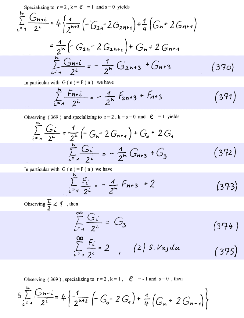
Formulae

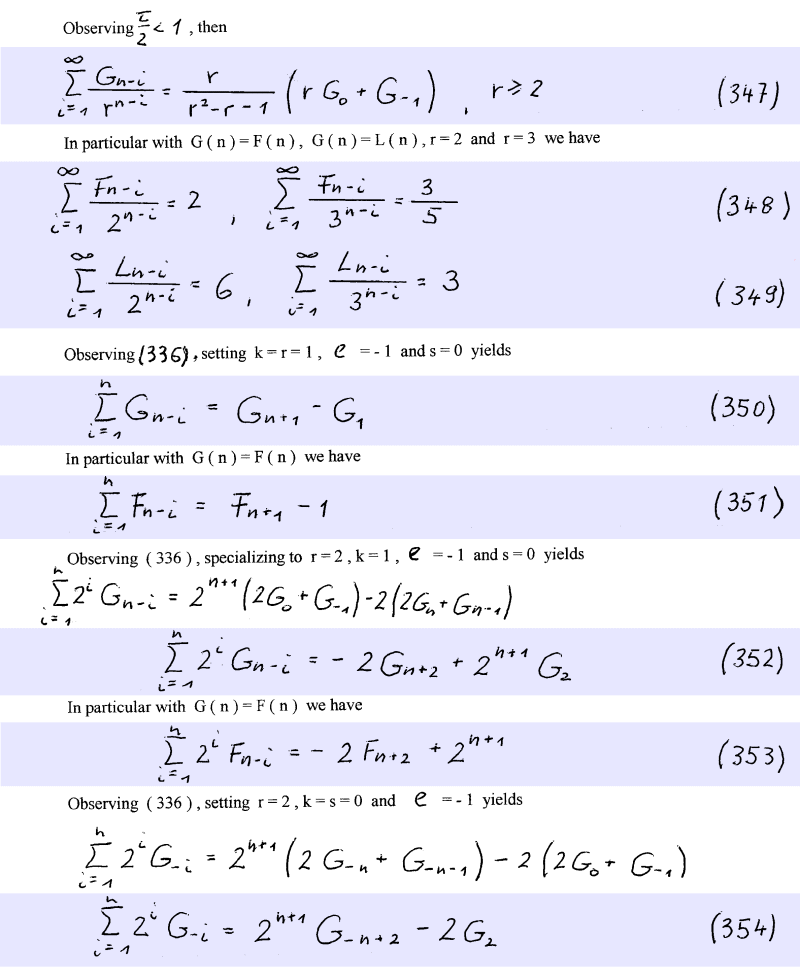
Formulae

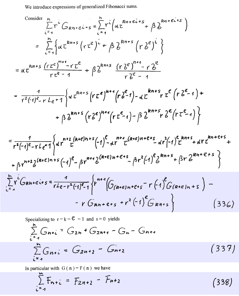
Formulae

Formulae

Formulae

Formulae

Formulae

Formulae