[Home]

A Fourteenth Generalization

RabbitRabbitRabbit

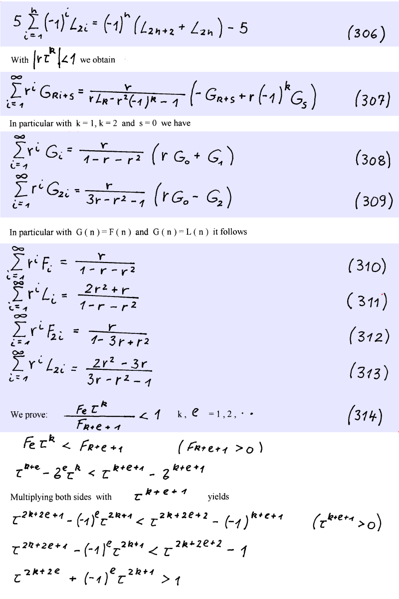
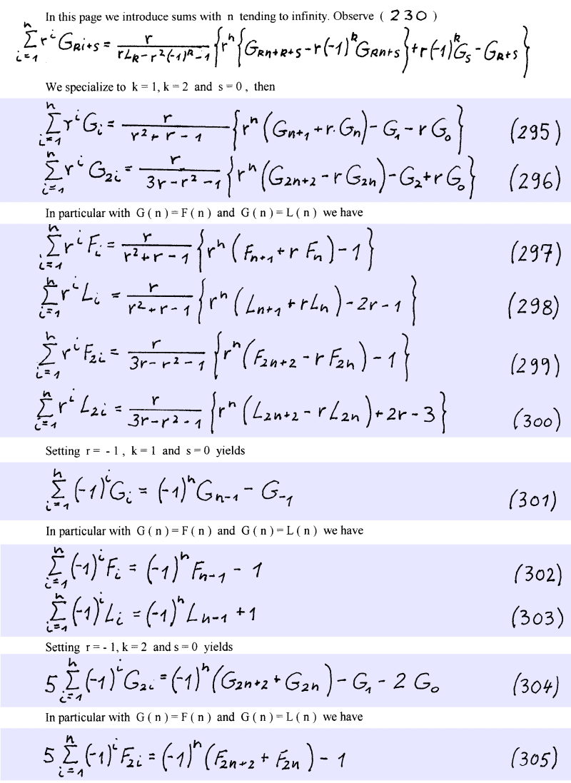
Formulae

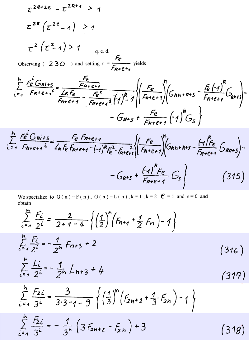
Formulae

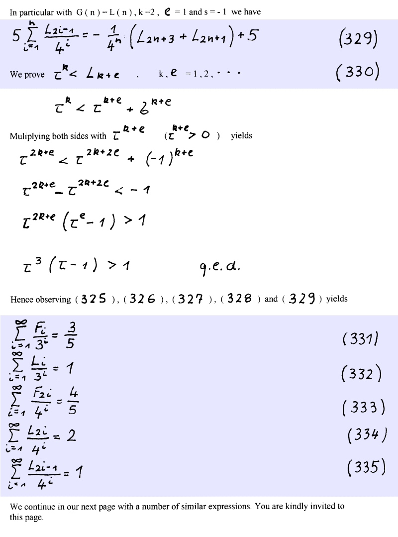
Formulae

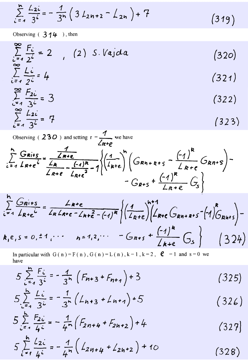
Formulae

Formulae