[Home]

A Thirteenth Generalization

RabbitRabbitRabbit

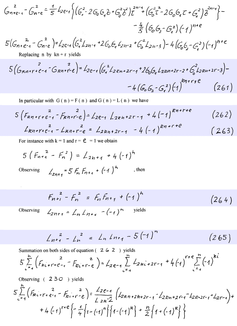
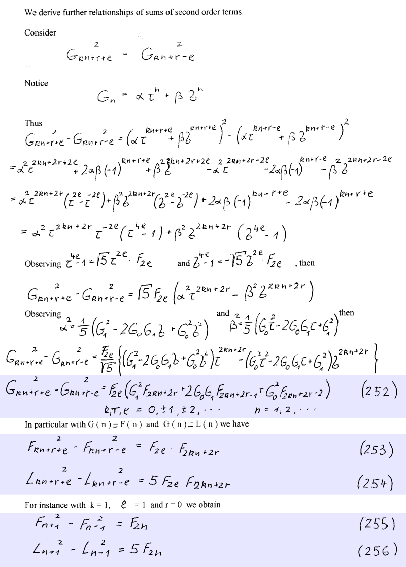
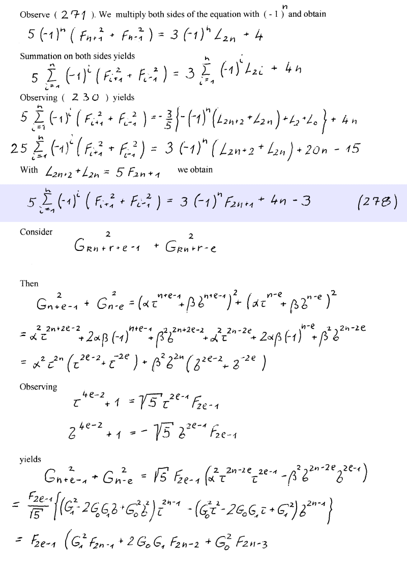
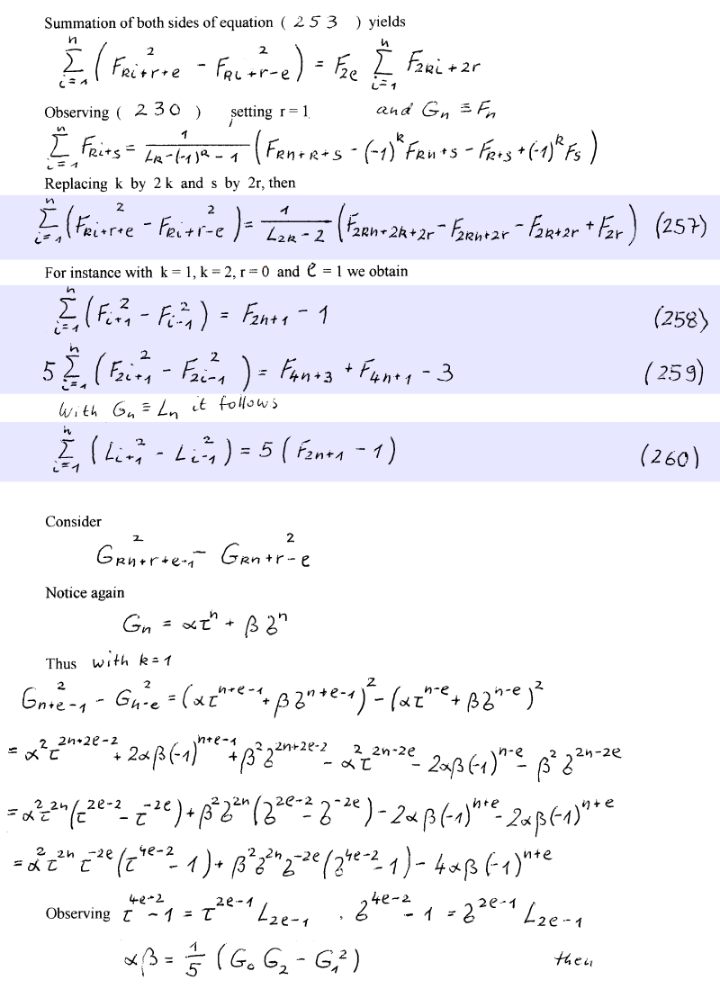
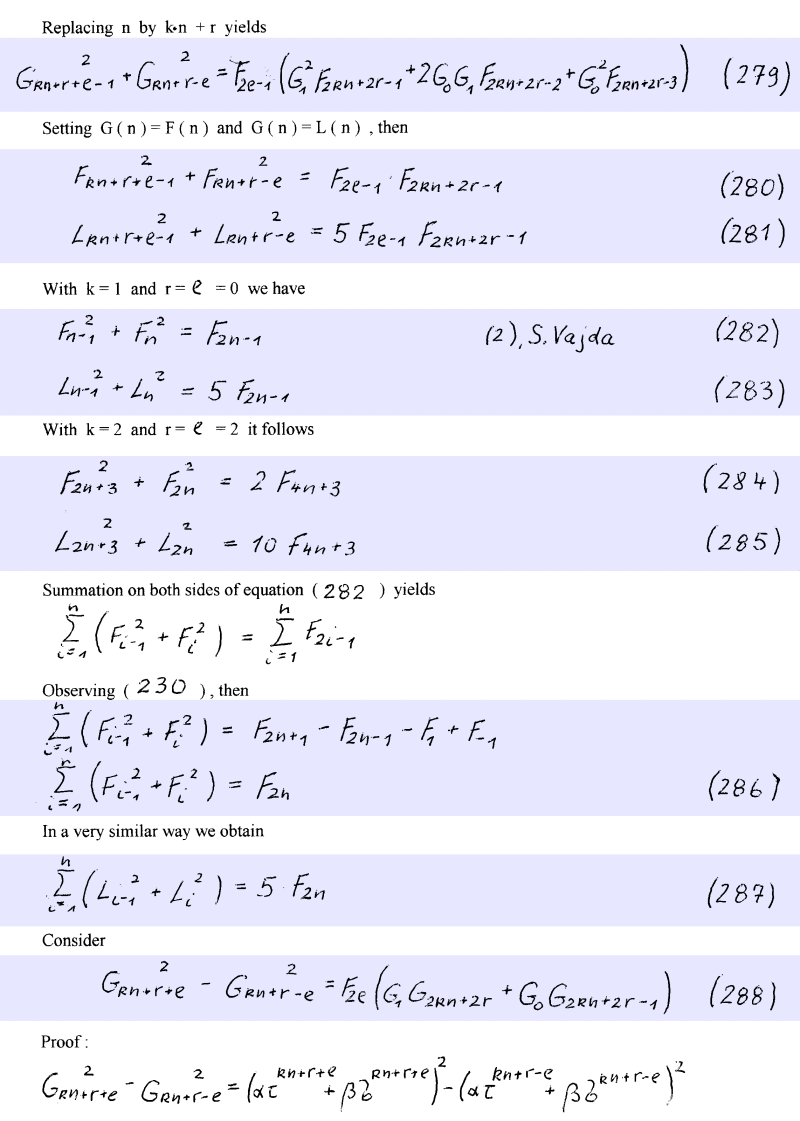
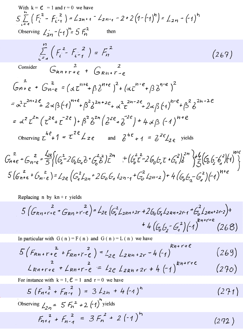
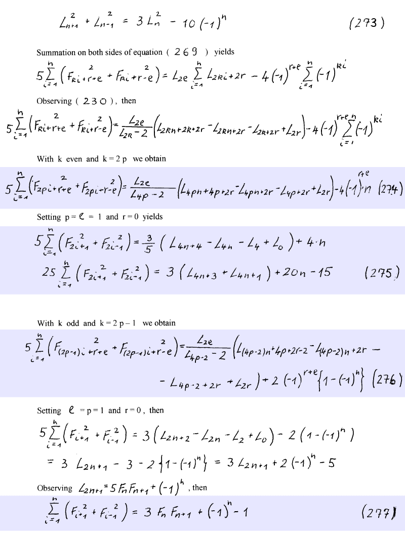
Formulae

Formulae

Formulae

Formulae

Formulae

Formulae

Formulae

Formulae