[Home]

An Eleventh Generalization

RabbitRabbitRabbit

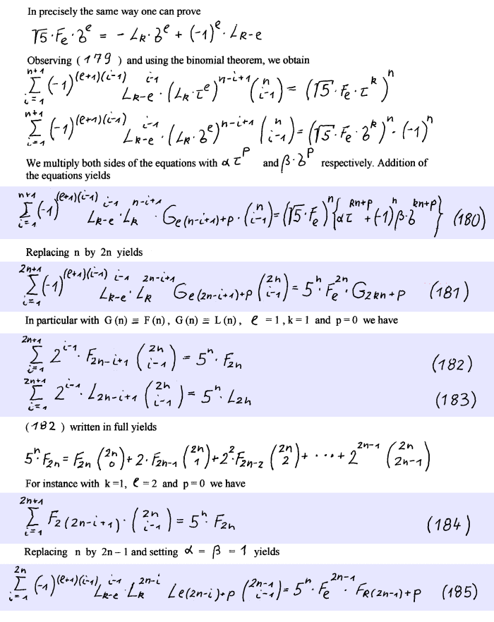
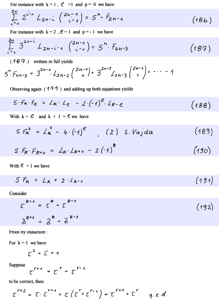
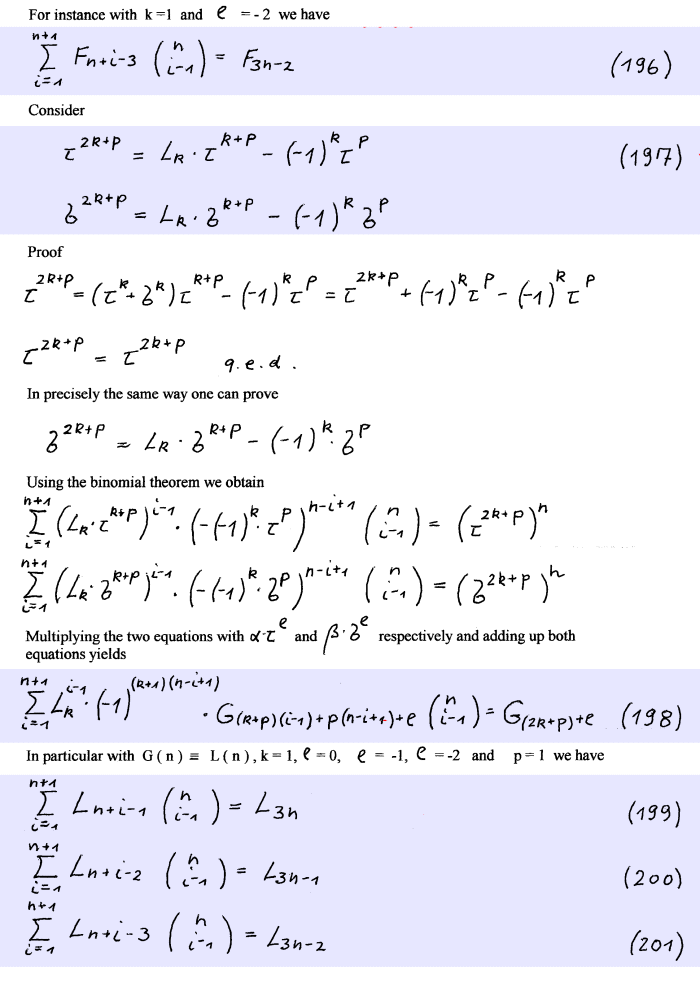
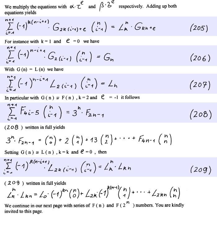
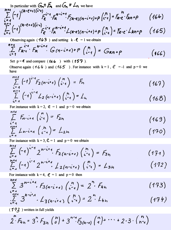
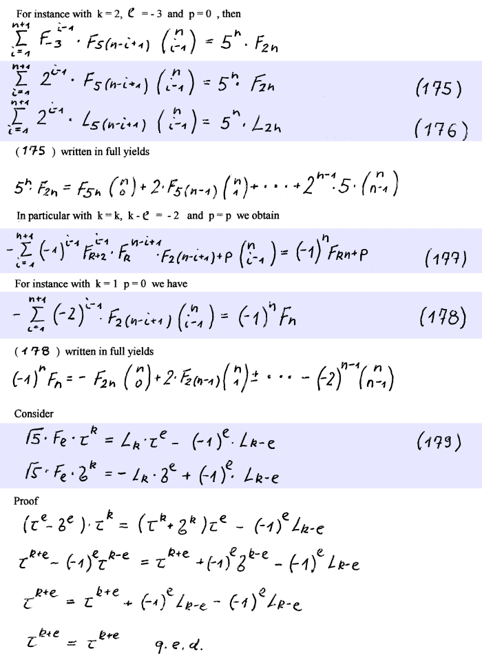
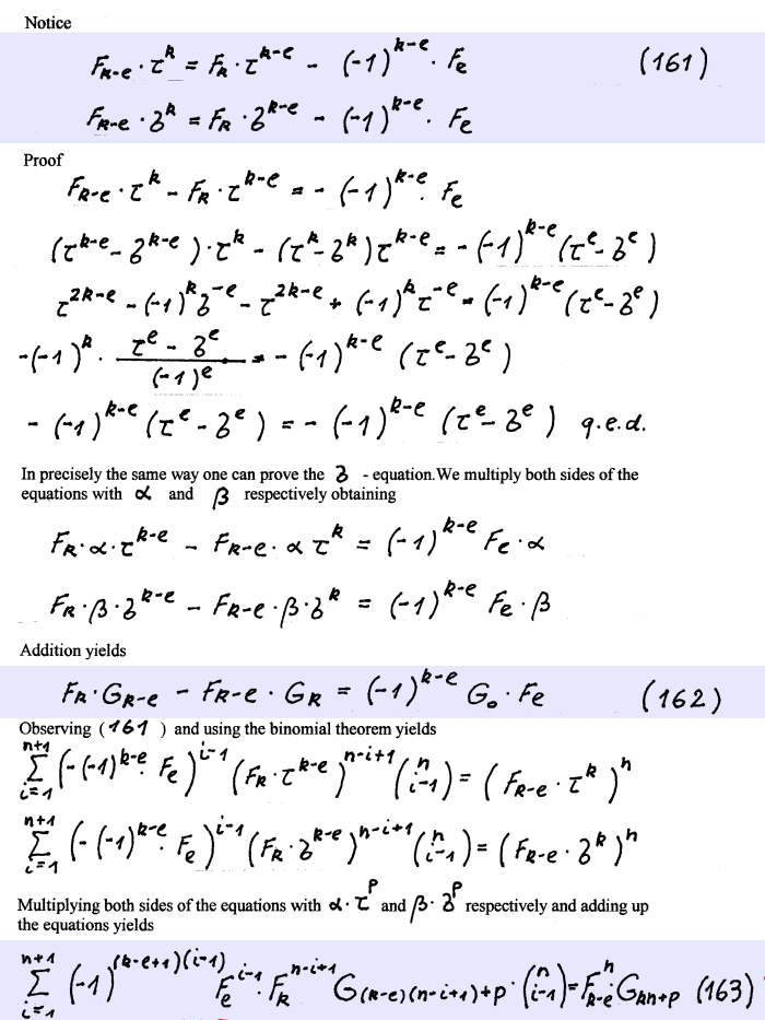
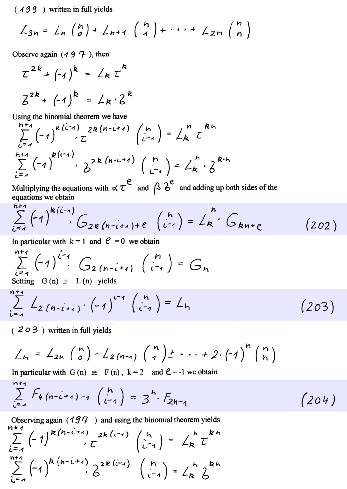
Formulae

Formulae

Formulae

Formulae

Formulae

Formulae

Formulae

Formulae

Formulae