[Home]

A Tenth Generalization

RabbitRabbitRabbit

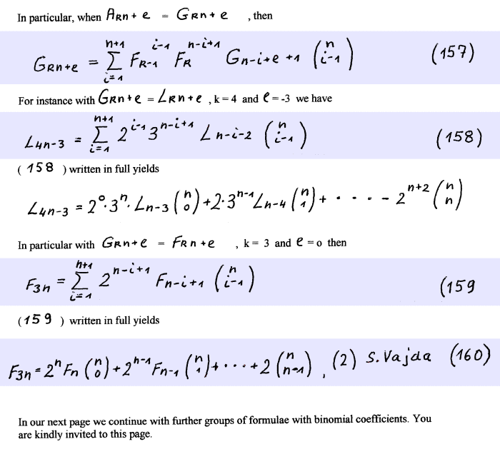
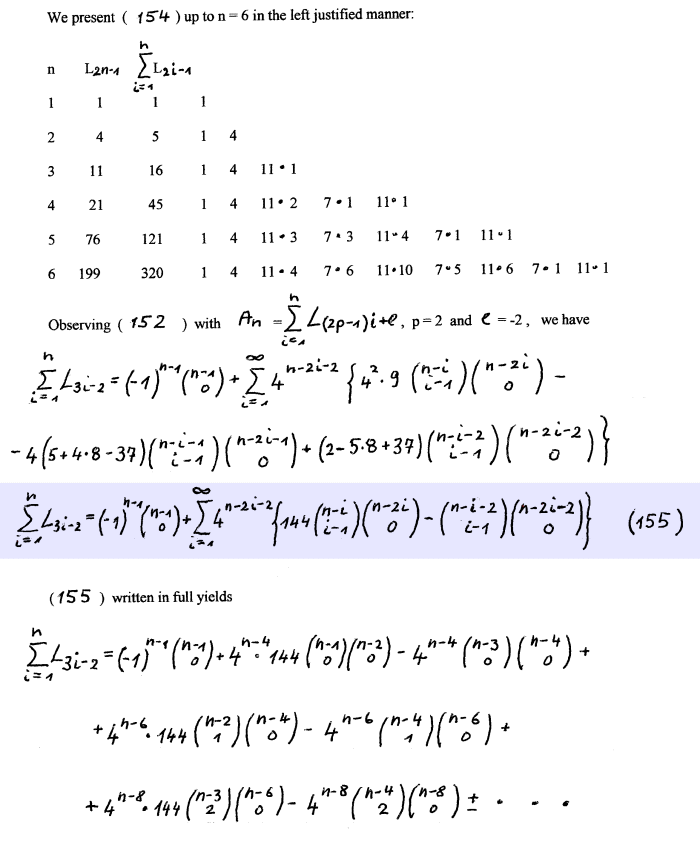
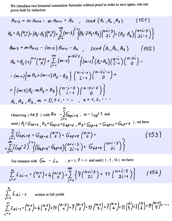
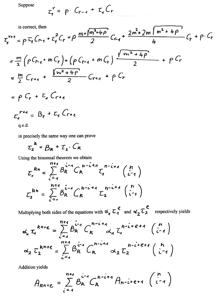
Formulae

Formulae

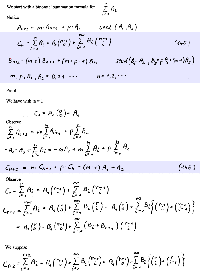
Formulae

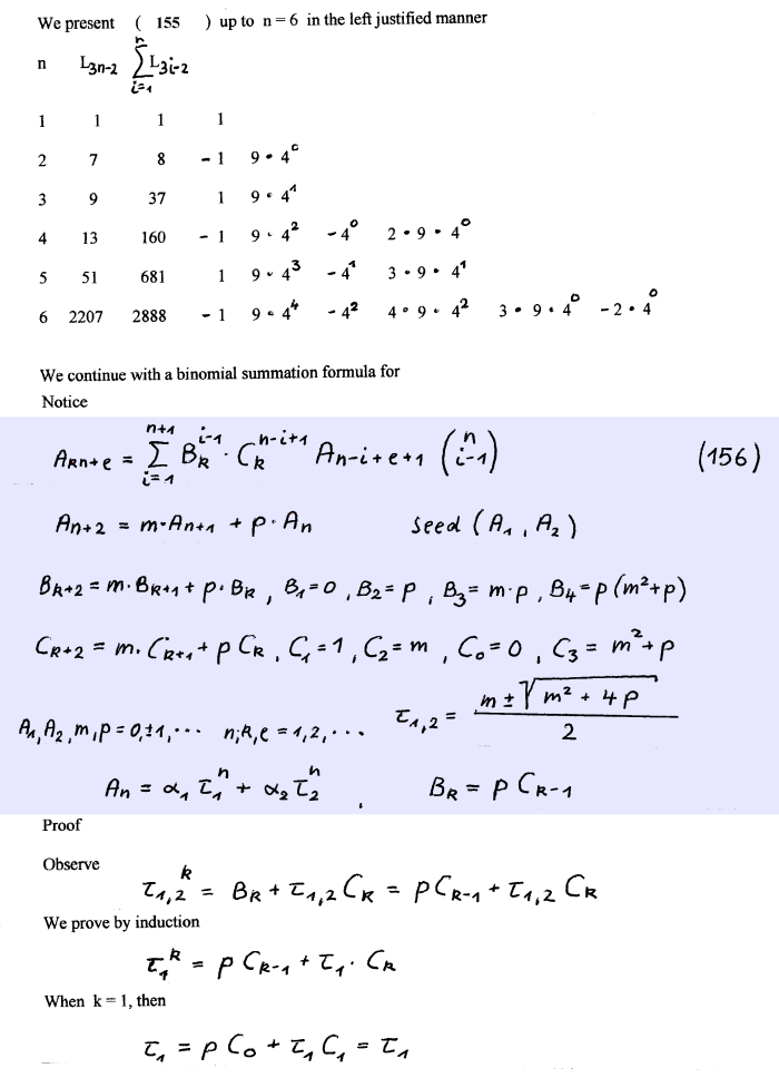
Formulae

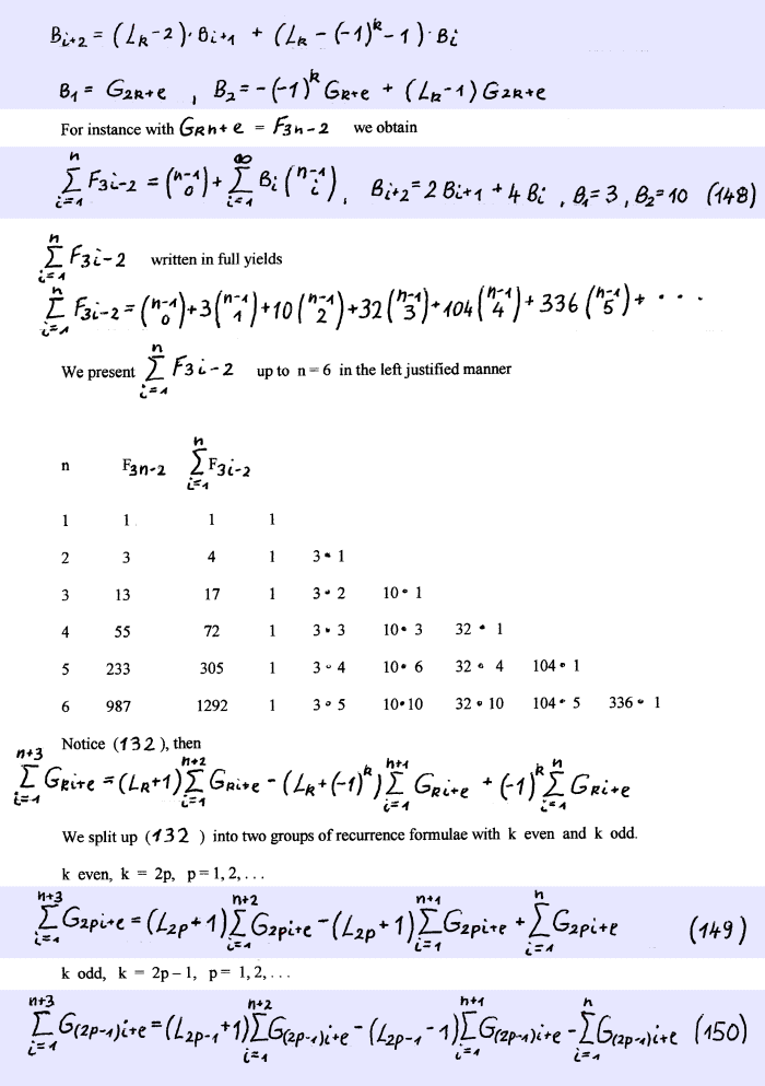
Formulae

Formulae

Formulae

Formulae